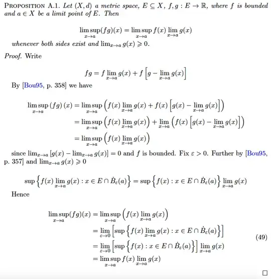
In General Topology Chapters 1 - 4 by Bourbaki on p. 359 I have found the property
$\limsup_{x \to a} fg = \limsup_{x \to a}f \lim_{x \to a}g$
whenever both sides are defined and $f,g \geqslant 0$. However, I think this is still true, if only $g \geqslant 0$. Any hints for a proof?
