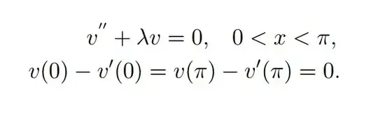
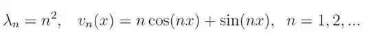
Given this S-L problem with solution:
And I want to prove this equality when $f(x)$ also has the same conditions as S-L problem.
I tried doing integration by parts on the left side twice but didn't end anywhere.. But I know it's the way to solve it.. any help?


