Answer 1.In general, to see an illustration of primary decomposition:
The book "Monomial Ideals" by "Herzog-Hibi", section 1.3 (Primary decomposition and associated prime ideals) illustrate this. The book has:
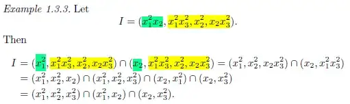
"Theorem 1.3.1 in combination with Corollary 1.3.2 now says that each monomial ideal has a unique presentation as an irredundant intersection of irreducible (primary) monomial ideals. The proof of Theorem 1.3.1 shows us how we can find such a presentation." Example 1.3.3 illustrates the procedure.
I add an image of Example 1.3.3 and highlight the first step:

So we have $(x^2, xy) = (x^2, x)\cap (x^2,y) = (x) \cap (x^2, y)$
Answer 2. For your special example:
Let K be a field and let R = K[X,Y]. Let M=(X,Y). The book "Steps in Commutative Algebra" by "Sharp", shows (Example 4.27, page 74) that $I=(x^2, xy) = (x) \cap (x, y)^2=(x) \cap (x^2, y)$. So the primary decomposition of "answer 1" and the primary decomposition you want are both primary decompositions for $I$.