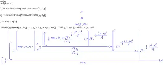
Say $x_1$ and $x_2$ are normal random variables with known means and standard deviations and $C$ is a constant. If $y = \max(x_1,x_2,C)$, what is $\mathrm{Var}(y)$?
Well, I forgot to tell that $x_1$ and $x_2$ are independent.
Say $x_1$ and $x_2$ are normal random variables with known means and standard deviations and $C$ is a constant. If $y = \max(x_1,x_2,C)$, what is $\mathrm{Var}(y)$?
Well, I forgot to tell that $x_1$ and $x_2$ are independent.
What I've got isn't pretty, but here goes (note: I use $\varphi(\cdot)$ and $\Phi(\cdot)$ to denote the standard normal density and CDF, resp.):
First, let's put everything in terms of standard normals:
$y_1=\frac{x_1-\mu_1}{\sigma_1},y_2=\frac{x_2-\mu_2}{\sigma_2},C_1=\frac{C-\mu_1}{\sigma_1},C_2=\frac{C-\mu_2}{\sigma_2}$
The first key is drawing proper regions for the evaluation of the Max function:

With this we can see that:
$$\begin{eqnarray*} \mathbb{E}[Max\{X_{1},X_{2},C\}] & = & \intop\limits _{-\infty}^{C_{2}}\intop\limits _{-\infty}^{C_{1}}Cd\Phi(y_{1})d\Phi(y_{2})\\ & & +\intop\limits_{C_1}^{\infty} \intop\limits_{-\infty}^{y_1} y_1 d\Phi(y_2)d\Phi(y_1) \\ & & +\intop\limits_{C_2}^{\infty} \intop\limits_{-\infty}^{y_2} y_2 d\Phi(y_1)d\Phi(y_2) \\ \end{eqnarray*}$$
Simplifying what we can:
$\mathbb{E}[Max\{X_{1},X_{2},C\}] = C\Phi(C_1)\Phi(C_2)+(1-\Phi(C_1))\mathbb{E}[z\Phi(z) | Z>C_1]+(1-\Phi(C_2))\mathbb{E}[z\Phi(z) | Z>C_2]$
($Z$ distributed $N(0,1)$)
Similarly, we get:
$$\begin{eqnarray*} \mathbb{E}[(Max\{X_{1},X_{2},C\})^2] & = & \intop\limits _{-\infty}^{C_{2}}\intop\limits _{-\infty}^{C_{1}}C^2d\Phi(y_{1})d\Phi(y_{2})\\ & & +\intop\limits_{C_1}^{\infty} \intop\limits_{-\infty}^{y_1} y_1^2 d\Phi(y_2)d\Phi(y_1) \\ & & +\intop\limits_{C_2}^{\infty} \intop\limits_{-\infty}^{y_2} y_2^2 d\Phi(y_1)d\Phi(y_2) \\ \end{eqnarray*}$$
Which simplifies slightly:
$\mathbb{E}[(Max\{X_{1},X_{2},C\})^2] = C^2\Phi(C_1)\Phi(C_2)+(1-\Phi(C_1))\mathbb{E}[z^2\Phi(z)|Z>C_1]+(1-\Phi(C_2))\mathbb{E}[z^2\Phi(z)|Z>C_2]$
That's about as far as I've gotten.
I do not know the actual expression for Var($y$), but to get started, $y$ will not follow a normal distribution and its cumulative probability distribution $F_Y(x)$ will be the product of the cumulative distributions $F_{X1}(x)$ and $F_{X2}(x)$, floored to zero for $x<C$.
For an estimation of Var($y$) you may find this other question helpful: Expectation of the maximum of gaussian random variables