2

Having just learned about $i$ in my 10$^{th}$ grade classroom I'm interested in the proofs underlying the rules for algebraic manipulations with imaginary numbers; such an understanding will create a greater appreciation for these foundations mathematics.

Without given a reason, we were told that $\sqrt{-a}*\sqrt{-b}\neq\sqrt{ab},\text{ where }a,b\in \mathbb{R}$.

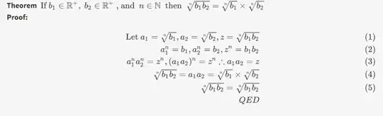
I've proved on my own (I don't know if my attempt is correct and recognize how relatively rudimentary it is, though I'm just starting out) that enter image description here

I need to prove $\sqrt{-a}*\sqrt{-b}\neq\sqrt{ab},\text{ where }a,b\in \mathbb{R}$. So I begin by assuming the proof holds true for all $b_1,b_2\in \mathbb{R}$ and not just $\mathbb{R}^{-}$ and try to prove by way of contradiction that this won't work. But from what I see, it does work. So where am I going wrong?

Maybe it's that once imaginary numbers exist this system falls apart because $\sqrt{-1}\times\sqrt{-1}=-1$ so you perform some sort of pattern matching?

Obviously $-1$ is some special case.

I'm just not clear on how to resolve this. Some clarity would be much appreciated.

theideasmith
  • 1,130
  • See the related question here. As for why it is not true in general, you already exhibited knowledge of a counterexample. Are you asking for why $\sqrt{-a}\sqrt{-b}\neq \sqrt{ab}$ in all cases? That also is false. Take $a=-1,b=-1$ for counterexample. – JMoravitz Mar 15 '16 at 18:29
  • What do you mean exactly by $\sqrt{-a}$ when $a>0$? Do you mean $i\sqrt{a}$? If so it is obvious that $\sqrt{-a}\sqrt{-b}\ne\sqrt{ab}$ when $a$ and $b$ are both positive, because you have a negative number on the left and a positive number on the right. – Intelligenti pauca Mar 15 '16 at 18:30

1 Answers1

4

In line three you use the fact that for positive reals $a,b$ from $a^n=b^n$ it follows that $a=b$. This is not longer true over the complex numbers(its not even true over the real numbers). For example $i^4=1^4$ but certainly we don't have $i=1$

Also showing that the above proof doesn't work for couplex numbers does not prove that the theorem is wrong. To show that the theorem is wrong you just have to give a counterexample. As you already noted $a=b=-1$ would do the job.

math635
  • 1,645
  • 11
  • 19