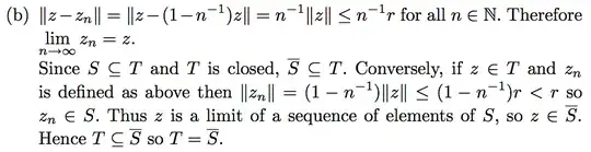
Let $X$ be a normed linear space and, for any $x \in X$ and $r \gt 0$, let $T=\{y\in X: \|y-x\|\le r\}$ and $S=\{y\in X: \|y-x\|\lt r\}$.
If $z\in T$ and $z_n=(1-n^{-1})z$, for $n\in \mathbb{N}$, show that $\lim z_n=z$ and hence show that $\bar{S}=T$.
Below is the solution to the problem. But I think it's wrong. It shows that $\|z_n\|\lt r$, but we need $\|z_n-x\|\lt r$, where $x$ is a fixed point in $X$, to show that $z_n \in S$. How can I show this? Perhaps the problem is wrong? I would greatly appreciate any help.
