0

Given a filtered probability space $(\Omega, \mathscr F, \{\mathscr F_n\}_{n \in \mathbb N}, \mathbb P)$ where $\mathscr F_n = \mathscr F_n^Y$,

let $Y_1, Y_2, ...$ be iid random variables w/ $P(Y_n = 1) = P(Y_n = -1) = 1/2$.

$X$ is a symmetric random walk: $X_0 = 0, X_n = Y_1 + ... + Y_n$ and is a $(\{\mathscr F_n\}_{n \in \mathbb N}, \mathbb P)$-martingale.

It can be shown that $S = \inf\{n : X_n = 7\} < \infty$ and $T = 10^{12} \wedge S$ are $\{\mathscr F_n\}$-stopping times.

Find $E[X_S]$ and $E[X_T]$.


What I tried:

$$E[X_S] = E[\lim X_{S \wedge n}]$$

$$\stackrel{DCT}{=} \lim E[X_{S \wedge n}] \tag{*}$$

where

$$X_{S\wedge n} = ( \ \sum_{k=0}^{n} 1_{\{S=k\}} X_k \ ) + 1_{S> n} X_n$$

$$\to E[X_{S\wedge n}] = E[( \ \sum_{k=0}^{n} 1_{\{S=k\}} X_k \ ) + 1_{S> n} X_n]$$

$$= ( \ \sum_{k=0}^{n} E[1_{\{S=k\}} X_k] \ ) + E[1_{S> n} X_n]$$

$$= ( \ \sum_{k=0}^{n} E[1_{\{S=k\}} 7] \ ) + E[1_{S> n} X_n]$$

$$= ( \ \sum_{k=0}^{n} 7P(S=k) \ ) + E[1_{S> n} X_n]$$

Now

$$E[1_{S= n+1} X_n] = E[X_n | S= n+1] P(S= n+1) = E[X_n] P(S= n+1) = 7 P(S= n+1)$$

Similarly, $E[1_{S=k} X_n] = 7 P(S= k)$ for $k > n+1$.

It seems

$$E[X_S] = E[X_{S \wedge n}] = 7 = E[X_{S\wedge 10^{12}}]$$

Is that right?


$(*)$ DCT

$$X_{S\wedge n} = ( \ \sum_{k=0}^{n-1} 1_{\{S=k\}} X_k \ ) + 1_{S\ge n} X_n$$

$$|X_{S\wedge n}| = |( \ \sum_{k=0}^{n-1} 1_{\{S=k\}} X_k \ ) + 1_{S\ge n} X_n|$$

$$\le |( \ \sum_{k=0}^{n-1} 1_{\{S=k\}} X_k \ )| + |1_{S\ge n} X_n|$$

$$\le ( \ \sum_{k=0}^{n-1} |1_{\{S=k\}} X_k| \ ) + |1_{S\ge n} X_n|$$

$$\le ( \ \sum_{k=0}^{n-1} 1_{\{S=k\}} |X_k| \ ) + 1_{S\ge n} |X_n|$$

$$\le ( \ \sum_{k=0}^{n-1} |X_k| \ ) + |X_n|$$

$$\le \sum_{k=0}^{n} |X_n|$$

$\because X$ is a martingale, $E[|X_n|] < \infty$

$$\to E[\sum_{k=0}^{n} |X_n|] < \infty $$

BCLC
  • 14,197

1 Answers1

0

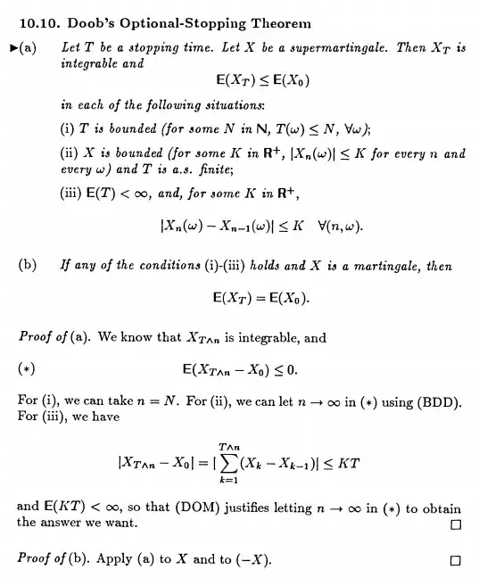
$X$ is a martingale and $T$ is bounded. By Doob's Optional Stopping Theorem (a) (i) $(*)$,

$$E[X_{T}] = E[X_0] = 0$$


$$X_{S} = 7$$

Hence,

$$E[X_{S}] = E[7] = 7$$

Note: $S < \infty$ and $X$ isn't (uniformly) bounded. Doob's doesn't apply.


(*)

enter image description here


enter image description here

(ignore red boxed part)

BCLC
  • 14,197