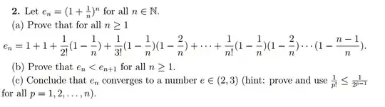
Prove the following. What would be the summation formula be for the first part?
-
What do you mean by 'summation formula' ? – BCLC Oct 15 '15 at 22:34
3 Answers
From the Binomial Theorem, we have
$$\begin{align} e_n&=\left(1+\frac1n\right)^n\\\\ &=\sum_{k=0}^n\binom{n}{k}\left(\frac1n\right)^k\\\\ &=1+n\left(\frac1n\right)+\frac{n(n-1)}{2!}\left(\frac1n\right)^2+\cdots+\frac{(n)(n-1)(n-2)\cdots(n-(n-1))}{n!}\left(\frac1n\right)^n\\\\ &=1+1+\frac1{2!}\left(1-\frac1n\right)+\frac1{3!}\left(1-\frac1n\right)\left(1-\frac2n\right)\\\\ &+\cdots+\frac1{n!}\left(1-\frac1n\right)\left(1-\frac2n\right)\cdots\left(1-\frac{n-1}n\right) \tag 1 \end{align}$$
as was to be shown!
To show that $e_n$ is increasing we will show that $\frac{e_{n+1}}{e_n}\ge 1$. To that end, we write
$$\begin{align} \frac{e_{n+1}}{e_n}&=\frac{\left(1+\frac{1}{n+1}\right)^{n+1}}{\left(1+\frac{1}{n}\right)^n}\\\\ &=\left(\frac{n(n+2)}{(n+1)^2}\right)^{n+1}\left(1+\frac1n\right)\\\\ &=\left(1-\frac{1}{(n+1)^2}\right)^{n+1}\left(1+\frac1n\right) \tag 2\\\\ &\ge\left(1-\frac{1}{n+1}\right)\left(1+\frac1n\right) \tag 3\\\\ &=1 \end{align}$$
where in going from $(2)$ to $(3)$, we used Bernoulli's Inequality. Thus, $e_n$ in monotonically increasing; and we are done!
From $(1)$ is trivial to see that $e_n\ge 2$ for $n\ge 1$.
Noting that all of the parenthetical terms are less than $1$, and $n!>2^{n-1}$ for $n\ge2$, then for $n\ge 2$, we have
$$e_n\le 1+1+\sum_{k=1}^\infty \frac{1}{2^k}=3$$
Thus, we conclude that $e_n$ is a monotonically increasing sequence that is bounded above by $3$. Therefore, $e_n$ converges to some real number betweem $2$ and $3$. And we are done!
- 184,670
-
This looks eerily familiar... and very similar to what I was about to post. – robjohn Oct 15 '15 at 23:12
-
@robjohn Or even more eerily. Great minds think alike. Well, yours might be great. ;-)) – Mark Viola Oct 15 '15 at 23:21
-
That is the other direction (also shown in the linked answer). Glad to see Bernoulli's Inequality being used. – robjohn Oct 15 '15 at 23:53
-
@robjohn Yes. I've used that little inequality a number of times to answer questions on MSE. – Mark Viola Oct 16 '15 at 01:11
-
-
To prove (a) and (b) use the binomial theorem. To prove (c) use the hint, that is, bound $e_n$ above by a geometric progression with ratio $1/2$.
- 10,452
-
And just how does one show from the binomial theorem that $e_n$ monotonically increases? – Mark Viola Oct 15 '15 at 23:11
