11

I want to write $P(x,y,z)=yx^{3}+zx^{3}+xy^{3}+zy^{3}+xz^{3}+yz^{3}$ in terms of elementary symmetric polynomials, but I'm getting stuck at the first step. I know I should follow the proof of the fundamental theorem of symmetric polynomials using the Newton identities.

First I pick out the 'biggest' monomial according to the lexicographical ordering: $yz^{3}$. Now I want to rewrite this as a polynomial in the elementary symmetric polynomials. I don't quite understand how to do this.

Bill Dubuque
  • 282,220
Abelsh
  • 1,073

3 Answers3

19

By Gauss's algorithm below, if $\rm\ z^a\,y^b\, x^c\ $ is the highest w.r.t. lex order $\rm\ z > y > x\ $ then we subtract $\rm\ s_1^{a-b}\ s_2^{b-c}\ s_3^c\,$ to decrease its order. In our example $\rm\, z^3\, y\, $ is highest, therefore we subtract $\rm\ s_1^{3-1}\ s_2^{1-0}\ s_3^0 = (x+y+z)^2\ (xy+yz+zx)\,$ from $\rm\,P.\,$ The result is smaller in lex-order, hence iterating this reduction rewrites $\rm\:P\:$ as a polynomial in elementary symmetric polynomials $\rm\,s_i.\,$ Here the algorithm terminates in two more steps - see below. See here for another worked example.

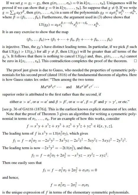
As I mentioned in a prior post, Gauss's algorithm is the earliest known example of using lex-order reduction as in the Grobner basis algorithm. For a nice exposition see Chapter 7 of Cox, Little, O'Shea: Ideals, Varieties and Algorithms. They also give generalizations to the ring of invariants of a finite matrix group $\rm G \subset GL(n,k)$. Below is an excerpt which, coincidentally, presents this example. You might find it helpful to first read the example at the end before reading the proof.

alt text alt text

Bill Dubuque
  • 282,220
9

Edit: As per Bill's comment I would like to clarify that this answer does not employ the algorithm that the OP is attempting to understand (Gauss's algorithmic proof of the fundamental theorem of symmetric polynomials via lex-order reduction, cf. Bill's answer).

$$P(x,y,z)=yx^{3}+zx^{3}+xy^{3}+zy^{3}+xz^{3}+yz^{3}$$ $$=x^3(y+z+x-x)+y^3(x+z+y-y)+z^3(x+y+z-z)$$ $$=x^3(x+y+z)+y^3(x+y+z)+z^3(x+y+z)-x^4-y^4-z^4$$ $$=(x+y+z)(x^3+y^3+z^3)-(x^4+y^4+z^4)$$

Now you can use identities for power sums.

Bill Dubuque
  • 282,220
  • 1
    @Timothy: do you mind breaking the formula into two displayed lines? It is running out of the displayport on my small netbook. – Willie Wong Dec 12 '10 at 14:15
  • @Willie: Yeah I just did that after I saw how horrible it looked :) – Timothy Wagner Dec 12 '10 at 14:15
  • @Timothy: The OP's remarks make it clear that he is attempting to understand the classic Gauss proof using lex-order. But the above approach is of no help in this regard. – Bill Dubuque Dec 12 '10 at 16:52
  • 4
    @Bill Dubuque: I am not aware of Gauss' proof about this. I interpreted OP's statements to mean that the said proof was a possible approach and not necessarily the approach the OP had to use. – Timothy Wagner Dec 12 '10 at 16:54
  • @Timothy: See the second paragraph of the OP's post where he mentions picking out the highest term in lex-order. This is the reduction step in Gauss's algoritm - see my answer. – Bill Dubuque Dec 12 '10 at 17:04
  • @Bill: Yes I had read it. I don't see how that contradicts my earlier statement. – Timothy Wagner Dec 12 '10 at 17:14
  • @Timothy: Does the method above yield an algorithm to rewrite every symmetric polynomial in elementary symmetric functions or is it an ad-hoc method that works only for the above specific case? – Bill Dubuque Dec 12 '10 at 17:36
  • 3
    @Bill: I never claimed it does. The OP's first statement says that he wants to write the given polynomial in terms of elementary symmetric functions. That is the question I answered. He explained his approach. I never claimed mine was the same approach. The OP did not claim that he wants to solve this problem using Gauss' proof. The OP said he tried solving this problem using Gauss' proof. – Timothy Wagner Dec 12 '10 at 17:41
  • 1
    @Timothy: Not true. The OP explicitly wrote "I know I should follow [Gauss's] proof of the fundamental theorem". At the least you should preface your answer saying that it does not follow this proof so that readers don't needlessly waste their time having to infer that. – Bill Dubuque Dec 12 '10 at 19:23
  • @Bill: I have prefaced it as per your demand. You can feel free to edit the edit. I stand by all my earlier statements. – Timothy Wagner Dec 12 '10 at 19:26
  • @Timothy: Thanks for clarifying your post. Of course there's nothing wrong with giving alternative approaches. But it's always helpful to explicitly specify that's what you're doing, so that the reader isn't left puzzled trying to determine how the alternative approach is related to the approach sought - when in fact it is not. That's why I suggested that it would be helpful to add some clarification. – Bill Dubuque Dec 12 '10 at 20:06
0

You stated:

I want to write $P(x,y,z)=yx^{3}+zx^{3}+xy^{3}+zy^{3}+xz^{3}+yz^{3}$ in terms of elementary symmetric polynomials,

The polynomial $P$ is homogeneous of degree $4$ and highest degree $3$. Therefore, using partitions of $4$ it can be written as a linear combination of the elementary symmetric functions $$e_1:=x+y+z,\; e_2:=xy+xz+yz,\; e_3:=xyz$$ of $x,y,z$ as $$ P(x,y,z) = S := a\,e_3e_1 +b\,e_2^2 +c\,e_2e_1^2 +d\,e_1^4. $$ Now $d=0$ since the highest degree of $P$ is $3$. Now, the expansion of $S$ has highest degree term of $x$ as $c\,x^3(y+z).$ Comparing this to $P$ implies $c=1.$ But now, the expansion of $S$ contains $(b+2)x^2z^2$ which implies $b=-2.$ Now the expansion of $S$ contains $(a+1)x^2yz$ which implies $a=-1.$ The final result is the equation $$ P(x,y,z) = -e_3e_1 -2\,e_2^2 +e_2e_1^2. $$

Somos
  • 37,457
  • 3
  • 35
  • 85