4

Assume $$u_k\rightharpoonup u,\quad v_k\rightharpoonup v\quad\text{in}\quad L^1(0,T;Y)\tag{1}$$ and $$\int_0^T u_k(t)\varphi'(t)\ dt=-\int_0^T v_k(t)\varphi(t)\ dt\tag{2}$$ for some $\varphi\in C_0^\infty(0,T)$. "Passing to the limit" we get $$\int_0^T u(t)\varphi'(t)\ dt=-\int_0^T v(t)\varphi(t)\ dt.\tag{3}$$

My question is: How to justify this passage to the limit?

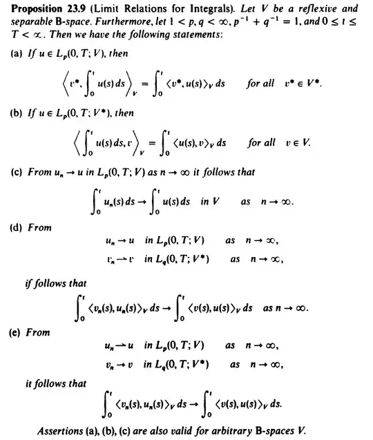
Remark: this passage to the limit is a step of the proof that "generalized derivatives are compatible with weak limits" in the following sense: $$u_k\rightharpoonup u\text{ in }L^p(0,T;Y)\quad \text{and}\quad u_k'\rightharpoonup v\text{ in }L^q(0,T;Y)\qquad \Rightarrow \qquad u_t=v,$$ where $1\leq p,q<\infty$ (page 419 of Zeidler's book). Writing $u_k'=v_k$, $(2)$ is obtained from the definition of generalized derivative. And $(1)$ is obtained from the continuous embedding $$L^s(0,T;Y)\subseteq L^r(0,T;Y),\quad 1\leq r\leq s\leq\infty.$$ The author says that $(3)$ follows from the proposition below, but I didn't understand it. So, I'd like an explanation.

Thanks.

enter image description here

Pedro
  • 19,965
  • 9
  • 70
  • 138

1 Answers1

4

Since $\varphi\in C_0^\infty(0,T)$, we also have $\varphi'\in C_0^\infty(0,T)$. The weak convergences $u_k\rightharpoonup u$ and $v_k\rightharpoonup v$ imply that $$ \lim_{k\to\infty}\int_0^Tu_k(t)\eta(t)dt=\int_0^Tu(t)\eta(t)dt $$ and $$ \lim_{k\to\infty}\int_0^Tv_k(t)\eta(t)dt=\int_0^Tv(t)\eta(t)dt $$ for all $\eta\in C_0^\infty(0,T)$. (If you defined the weak limit in some other way, let me know.) Now if you let $\eta=\varphi'$ in the first identity and $\eta=\varphi$ in the second one, you find $$ \int_0^Tu(t)\varphi'(t)dt = \lim_{k\to\infty}\int_0^Tu_k(t)\varphi'(t)dt = -\lim_{k\to\infty}\int_0^Tv_k(t)\varphi(t)dt = -\int_0^Tv(t)\varphi(t)dt. $$


Addendum: Why does weak convergence $u_k\rightharpoonup u$ in $L^1(0,T;Y)$ imply that $$ \lim_{k\to\infty}\int_0^Tu_k(t)\eta(t)dt=\int_0^Tu(t)\eta(t)dt\quad\text{in }Y\tag{1} $$ for all $\eta\in C_0^\infty(0,T;\mathbb R)$? I will work backwards, starting from this claim and going towards what we know.

First of all, the limit is weak. (If it happens to be strong as well, we don't really need that.) The only thing we need is that the limit exists and limits are unique; it may have been wiser to use some other notation than just $\lim$.

The limit $u_k\rightharpoonup u$ is in a sense "doubly weak": For any test function $\eta$ the limit (1) holds weakly. That is, for any fixed $\eta$ and any fixed $f\in Y'$ we have $$ \lim_{k\to\infty}f\left(\int_0^Tu_k(t)\eta(t)dt\right)=f\left(\int_0^Tu(t)\eta(t)dt\right)\quad\text{in }\mathbb R. $$ The continuous linear function $f$ commutes with integration, so this means $$ \lim_{k\to\infty}\int_0^Tf(u_k(t))\eta(t)dt=\int_0^Tf(u(t))\eta(t)dt\quad\text{in }\mathbb R.\tag{2} $$ Consider the function $F:(0,T)\to Y'$ given by $F(t)=\eta(t)f$. Clearly $F\in L^\infty(0,T;Y')$, so the convergence (2) is the same as $$ \lim_{k\to\infty}\langle F,u_k\rangle=\langle F,u\rangle, $$ where $\langle\cdot,\cdot\rangle$ is the duality pairing. But this follows from the assumed weak convergence of $u_k$ to $u$.

  • I'm having troubles with the meaning of weak convergence. I'm using the usual definition: $u_n\rightharpoonup u$ in $L^1(0,T;Y)$ means $$\langle \Lambda,u_n\rangle\to \langle\Lambda,u\rangle\quad\text{in}\quad \mathbb{R},\quad \forall\ \Lambda\in \Big(L^1(0,T;Y)\Big)'$$ It follows (as I tried to explain here) that $$\int_0^T\langle h(s),u_n(s)\rangle\ ds\to\int_0^T\langle h(s),u(s)\rangle\ ds\quad\text{in}\quad \mathbb{R}, \quad \forall\ h\in L^\infty(0,T;Y').$$ However... – Pedro Jul 10 '15 at 18:56
  • ...you said that the weak convergence implies $$\int_0^T u_n(s)h(s)\ ds\to\int_0^T u(s)h(s)\ ds\quad\text{in}\quad Y, \quad \forall\ h\in C^\infty_0(0,T).$$ Could you explain me it? – Pedro Jul 10 '15 at 18:56
  • @Pedro, I added a (lengthy) note to my answer about weak convergence against real valued functions. I hope I got it right. Do ask if there is something fishy. – Joonas Ilmavirta Jul 10 '15 at 19:48