I want to show that the free group on two elements $F(\{x,y\})$ is the coproduct $\mathbb{Z}*\mathbb{Z}$ in $\textbf{Grp}$. The idea is to use the universal property of free groups to prove that $F(\{x,y\})$ satisfies the universal property of coproducts in $\textbf{Grp}$. Below is my attempt to prove this. Is this correct? and also I am having trouble extending this result to the free group on $n$ elements. Any help/comments will be appreciated. Thanks
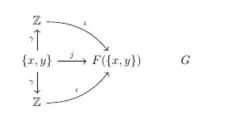
Let $G$ be any group. Define $\gamma:\{x,y\}\rightarrow \mathbb{Z}$ to be the set map which send $x$ to the generator $1$ and $y$ to the identity. For the means of set up, let $J:\{x,y\}\rightarrow F(\{x,y\})$ be the set map native to the free group. Next denote $\iota:\mathbb{Z}\rightarrow F(\{x,y\})$ to be the inclusion map, which sends $1$ to the generator $x$. Now consider what we've established thus far

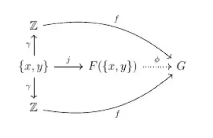
Now suppose that we have a group homomorphism $f:\mathbb{Z} \rightarrow G$, then $f\circ \gamma$ is a set map from $\{x,y\}$ and thus by the universal property of free groups there exists a unique group homomorphism $\phi:F(\{x,y\})\rightarrow G$ such that

commutes. Now to show that $F(\{x,y\})$ is the coproduct $\mathbb{Z}*\mathbb{Z}$ in $\textbf{Grp}$, we must show that $f=\phi\circ\iota$, that is the following diagram commutes

I claim that indeed it does. From the commutativity of the second diagram, we have that $f\circ\gamma=\phi\circ j$. It follows that $$f\circ\gamma(x)=f(1)=\phi(x)=\phi\circ j(x) \text{ and } f\circ\phi(y)=f(0)=\phi(y)=\phi\circ j(y)=e_G $$
Notice that $\phi\circ\iota(1)=\phi(x)=f(1)$, which shows that the homomorphism $\phi\circ\iota$ and $f$ agree for the generator of $\mathbb{Z}$ and so $\phi\circ\iota=f$ The commutativity of the third diagram is confirmed, proving that $F(\{x,y\})$ is the coproduct $\mathbb{Z}*\mathbb{Z}$ (we already have existence $\phi$ from the universal property of free groups, but not the uniqueness in this scenario?).

