0

Proving

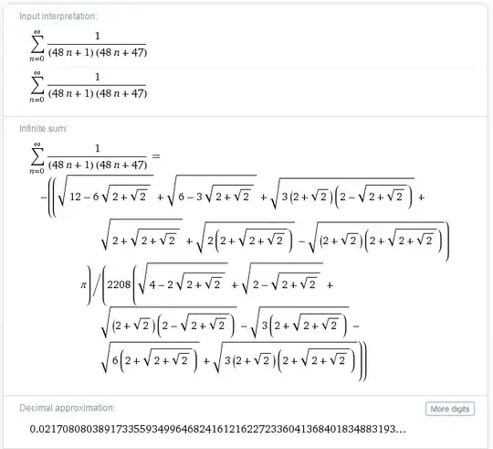
$$\sum_{n=0}^{\infty }\frac{1}{(48n+1)(48n+47)}=\frac{\pi}{2208}(\cot(\frac{\pi}{24})+\sec(\frac{11\pi}{24}))$$

When I used the WolframAlpha, I got the the following result:

enter image description here

I could get the alternative form of result which is above, but I m not sure if the closed-form is corrected ? Any help

E.H.E
  • 23,590

3 Answers3

3

This question is extremely similar to your other question. We have: $$S=\sum_{n\geq 0}\frac{1}{(48n+1)(48n+47)}=\sum_{n\geq 0}\frac{1}{(48n+24)^2-23^2}=\frac{\pi}{4\cdot 23\cdot 24}\tan\frac{23 \pi}{48},$$ hence

$$ S = \frac{\pi}{2208}\cot\frac{\pi}{48} $$

and since $\cot\frac{\pi}{6}=\sqrt{3}$ while $\cot\frac{x}{2}=\cot x+\sqrt{1+\cot^2 x}$, we have: $$\cot\frac{\pi}{12}=2+\sqrt{3},\quad \cot\frac{\pi}{24}=2+\sqrt{3}+2\sqrt{2+\sqrt{3}}$$ and:

$$\cot\frac{\pi}{48}=2+\sqrt{3}+2\sqrt{2+\sqrt{3}}+2\sqrt{4+2 \sqrt{3}+2 \sqrt{2+\sqrt{3}}+\sqrt{3 \left(2+\sqrt{3}\right)}}$$

is an algebraic number over $\mathbb{Q}$ with degree $8$ and minimal polynomial $1+16 x+4 x^2-112 x^3+6 x^4+112 x^5+4 x^6-16 x^7+x^8$.

Jack D'Aurizio
  • 361,689
2

You may recall the following series representation for the digamma function
$$\begin{equation} \psi(x+1) = -\gamma - \sum_{n=1}^{\infty} \left( \frac{1}{n+x} -\frac{1}{n} \right), \quad \Re x >-1, \tag1 \end{equation} $$ where $\gamma$ is the Euler-Mascheroni constant.

Then by partial fraction decomposition we have $$ \begin{align} \frac{1}{(48n+1)(48n+47)} &= \frac{1}{46}\left(\frac{1}{48n+1}-\frac{1}{48n+47}\right)\\\\ &=\frac{1}{2208}\left(\frac{1}{n+1/48}-\frac{1}{n+47/48}\right)\\\\ &=\frac{1}{2208}\left[\left(\frac{1}{n+1/48}-\frac1n\right)-\left(\frac{1}{n+47/48}-\frac1n\right)\right] \end{align} $$ then summing from $n=1$ to $+\infty$, using $(1)$, we get $$ \begin{align} \sum_{n=1}^{\infty}\frac{1}{(48n+1)(48n+47)} &=\frac{1}{2208}\left(\psi\left(\frac{47}{48}\right)-\psi\left(\frac{1}{48}\right)\right)\\\\ &=\frac{1}{2208}\left(\psi\left(1-\frac{1}{48}\right)-\psi\left(\frac{1}{48}\right)\right) \end{align} $$ then recall that, from the Euler reflection formula you have $$ \psi\left(x\right)-\psi\left(1-x\right)=- \pi \cot(\pi x) $$ leading to

$$ \sum_{n=1}^{\infty}\frac{1}{(48n+1)(48n+47)}=\frac{\pi}{2208}\cot\left(\frac{\pi}{48}\right). $$

Olivier Oloa
  • 122,789
2

This is a comment to the "Olivier Oloa"s answer. Using this page and some fun with radicals we get: $$\cot\Big(\frac{\pi}{48}\Big)=\sqrt{\frac{2+\sqrt{2+\sqrt{2+\sqrt{3}}}}{2-\sqrt{2+\sqrt{2+\sqrt{3}}}}}$$

Math-fun
  • 9,888