In the Equality of mixed partial derivatives post in this stack exchange, one of the answers to the questions of do partial derivatives commute is: Second order partial derivatives commute if f is $C^2$ (i.e. all the second partial derivatives exist and are continuous). This is sometimes called Schwarz's Theorem or Clairaut's Theorem. This theorem is in my textbooks, yet I cannot seem to find the proof in them. I have tried proving the theorem yet I have gotten stuck. So, what is the proof of Clairaut's Theorem, or why do partial derivatives commute? If the proof is too long, a link to the proof with an intuitive explanation will be sufficient.
2 Answers
There's this little proof, which uses differentiation under the integral sign. $$\begin{align} \frac{\partial f}{\partial x}(x,y) &= \frac{\partial f}{\partial x}(x,y_0) + \int_{y_0}^y \frac{\partial^2f}{\partial x \partial y}(x,t)\,{\rm d}t \\ \frac{\partial^2f}{\partial y \partial x}(x,y) &= \frac{\partial}{\partial y}\int_{y_0}^y \frac{\partial^2f}{\partial x \partial y}(x,t)\,{\rm d}t \\ \frac{\partial^2f}{\partial y \partial x}(x,y) &= \frac{\partial^2f}{\partial x \partial y}(x,y)\end{align}$$
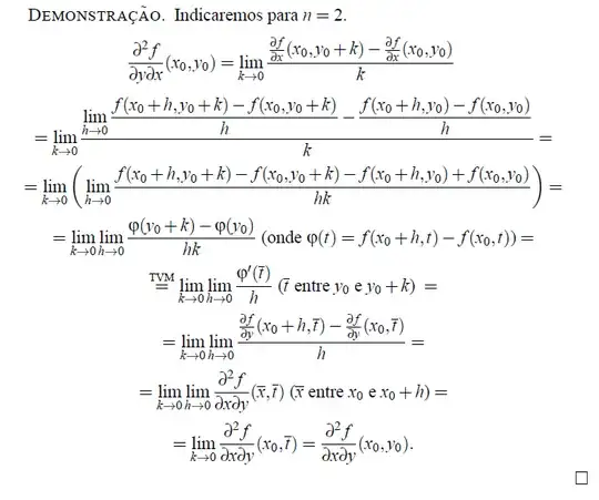
Another one ("TVM" stands for "mean value theorem"):

Note that this second proof also shows that we only need that both partial derivatives exist, with only one of them being continuous. It is a stronger version.
- 80,301
-
1I know this is quite an old answer, but why is the second last equality true? It could be that $\overline{t}$ depends on $h$, since the function $\varphi$ depends on $h$. It's not clear to me why the limit of $\overline{t}$ when $h$ goes to $0$ should exist. – J. C. Mar 21 '20 at 15:25
-
1In the first line of the first proof, shouldn't it be $\frac{\partial ^2}{\partial y \partial x}$ inside the integral? – niraj panakhaniya Jun 02 '24 at 11:38
Here's a nice proof online,but I'm puzzled by the fact you can't find a full proof. Most good multivariable calculus books I've seen, like Bandaxall and Liebeck, have detailed proofs. Anywho, here's a good proof.
https://unapologetic.wordpress.com/2009/10/15/clairauts-theorem/
Basically, the intuitive reason is because the paths in the open set for each variable trace out to the same points in the open set regardless of what the order of partial differentiation is. That is,the tangent lines to the paths are parallel along the mixed partial derivatives curves.
More sophisticated and excellent discussions can be found here.
- 17,966