14

I'm trying to solve the Folland Real analysis p.32 problem 19 and it was easy to show that the inner measure of a measurable set equals the outer measure. However I'm stuck at the converse. Could anyone help me how to prove that if the inner measure equals the outer meausure, then the set is measurable?

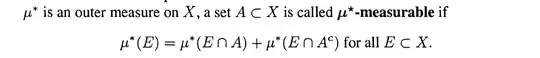
This is the definition of measurability in Folland.enter image description here

And the problem 19 is the one that I'm stuck at.enter image description here

Bach
  • 5,874
  • 2
  • 22
  • 44
Keith
  • 8,359
  • 2
    For those who don't have Folland's book at hand, it would help if you gave the definition of "measurable" that is to be used. Some books define measurable to be when inner measure equals outer measure, which makes your question quite easy. :) – Dave L. Renfro Jan 14 '15 at 19:18

2 Answers2

17

Suppose $\mu^*(E) = \mu_*(E) := \mu_0(X) - \mu^*(E^c)$. Then, because $\mu^*(X) = \mu_0(X) < \infty$, $$\mu^*(X) = \mu_0(X) = \mu^*(E) + \mu^*(E^c).$$

Now, we can use Exercise 18 (a) to show that for each $n\in \mathbb{N}$ there is an $A_n \in \mathcal{A}_\sigma$ such that $A_n \supset E$ and $\mu^*(E) \leq \mu^*(A_n) \leq \mu^*(E) + \frac{1}{n}$. Setting $B = \bigcap A_n$, we have that $$\mu^*(E) \leq \mu^*(B) \leq \mu^*(A_n) \leq \mu^*(E) + \frac{1}{n}, $$ for each $n$. Hence, $\mu^*(B) = \mu^*(E)$. Since each $A\in \mathcal{A}$ is measurable and the measurable sets form a $\sigma$-algebra, $B$ is also measurable.

Thus, we have that $$\mu^*(X) = \mu^*(E) + \mu^*(E^c) = \mu^*(B) + \mu^*(B^c).$$ Since $\mu^*(B) = \mu^*(E) < \infty$, we also have $\mu^*(B^c) = \mu^*(E^c)$. Using the measurability of $B$ again we have $$ \begin{align*} \mu^*(E) + \mu^*(E^c) &= \mu^*(E) + \mu^*(B\cap E^c) + \mu^*(B^c\cap E^c) \\ &= \mu^*(E) + \mu^*(B\cap E^c) + \mu^*(B^c)\\ & = \mu^*(E) + \mu^*(B\cap E^c) + \mu^*(E^c). \end{align*} $$

Hence, $\mu^*(B\setminus E) = 0$, so we can apply Exercise 18 (b) to show that $E$ is measurable.

SRS
  • 346
  • 3
  • 5
  • 2
    Why is it true that $\mu^{\ast}(B) = \mu^{\ast}(E) \implies \mu^{\ast}(B^{C}) = \mu^{\ast}(E^{C}) $ – Muno Feb 01 '18 at 06:59
  • 2
    @Muno, because $B$ is measurable and $\mu^(E) + \mu^(E^c) = \mu^(X)$. Note that $E\cup E^c = B\cup B^c$ and, therefore, $\mu^(E) + \mu^(E^c) = \mu^(B) + \mu^*(B^c).$ – L.F. Cavenaghi Apr 19 '18 at 19:52
0

No need to use problem 18, this is all about camouflage! We will trick $\mu^*$ to think $E$ is the same as another set $\hat{E}$ with our desired properties.

Enough with the motivation, let us get our hands dirty. Because $\mu^*$ is an outer measure we already have that for any set $V$:

$$\mu^*(V)\leq\mu^*(E\cap V)+\mu^*(E^C\cap V)$$

So we only need to prove the opposite inequality. We note the outer measure and $\mu_o$ are both finite. Now comes our trickery, let us take $E\subset \cup E_i=\hat{E}$ where each $E_i $ is in our algebra and $\mu^*(E)\leq \mu^*(\hat{E})\leq \sum_i \mu^*(E_i)=\sum_i \mu_o(E_i)\leq \mu^*(E)+\epsilon$. Furthermore, we also know that $\hat{E}$ is in the sigma algebra generated by $A$ which is contained in $\mu^*$ measurable sets. And thus $\mu^*(\hat{E}^C)=\mu^*(X)-\mu(\hat{E})$ and $\hat{E}^C$ camouflages $E^C$:

$$\mu^*(E^C)-\epsilon= \mu^*(X)-\mu^*(E)-\epsilon \leq \mu^*(\hat{E}^C)=\mu^*(X)-\mu(\hat{E})\leq \mu^*(X)-\mu^*(E)=\mu^*(E^C) $$

Now it is very straightforward to prove our inequality:

$$ \mu^*(E\cap V)+\mu^*(E^C \cap V)\leq \mu^*(\hat{E}\cap V)+\mu^*(E^C \cap V)= $$ $$ \mu^*(\hat{E}\cap V)+\mu^*(E^C\cap \hat{E}^C \cap V)+\mu^*(E^C\cap \hat{E} \cap V)\leq $$ $$\mu^*(\hat{E}\cap V)+\mu^*(V \cap \hat{E}^C )+\mu^*(E^C\cap \hat{E} )= \mu^*(V)+\mu^*(E^C\cap \hat{E} )$$

Furthermore, because of the inequality we proved before that $\hat{E}^C$ also cammuflages $E^C$:

$$\mu^*(\hat{E}^C)+\epsilon\geq \mu^*(E^C)=\mu^*(E^C\cap \hat{E})+\mu^*( \hat{E}^C)$$

Combining things we get that for an arbitrary $\epsilon>0$:

$$\mu^*(E\cap V)+\mu^*(E^C \cap V)\leq \mu^*(V)+\epsilon $$

Kadmos
  • 3,243