
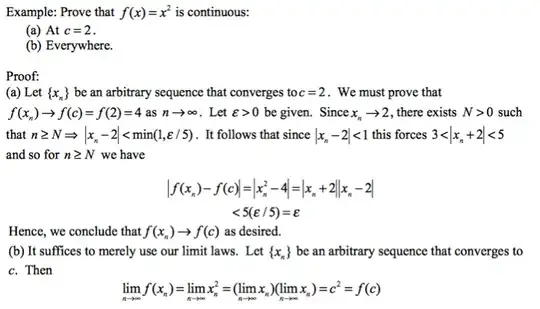
In the proof, why do we take the absolute value of $x_n - 2$ to be the minimum of $(1,\epsilon/5)$?

In the proof, why do we take the absolute value of $x_n - 2$ to be the minimum of $(1,\epsilon/5)$?
The fact, that $|x_n-2|<1$ is used in the proof. We can use another constant, but then $\epsilon$ will be divided not by 5, but by the number from the inequality similar to $3<...<5$ in your proof.
It is not strictly necessary to make this precise choice. What one needs is to be able to bound $|x_n + 2| \ |x_n - 2|$ from above by $\epsilon$. And this choice happens to work.
If you want to find such a proof yourself it can be better to initially say $|x_n -2|$ is bounded by some (small) $\delta$. So then $4- \delta < x_n+2 < 4 + \delta$, and $|x_n + 2| \ |x_n - 2| \le 4 \delta + \delta^2$.
Now pick $\delta$ in some way so that you can show (easily) that $4 \delta + \delta^2 \le \epsilon$.