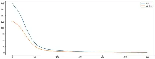
I am training a variational autoencoder and I am getting a loss-plot as follows:
Rigt after epoch 224, val-loss overtakes train-loss and sort of getting bigger but at an extremely slow pace as you can notice. I trained for 300 epochs.
Any opinion about the training. I don't think it is overfitting the data. But I want to be sure and hence seeking opinion from the data science community.
Thanks.
