I'm tuning a deep learning model for a learner of Space Invaders game (image below). The state is defined as relative eucledian distance between the player and the enemies + relative distance between the player and 6 closest enemy lasers normalized by the window height (if the player's position is $(x_p,y_p)$ and an enemy's position is $(x_e,y_e)$, the relative euclidian distance is $\frac{\sqrt{(x_p-x_e)^2+(y_p-y_e)^2}}{HEIGHT}$ and HEIGHT is the window height). Hence the observation space dimension is (10+6), which results in an input of my deep neural network of 16 units.
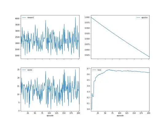
My agent doesn't seem to learn (reward function doesn't increase) and I thought I'd check the mean Q values, which are the output of my main deep neural network, and, instead of increasing, I've remarked that the mean Q values stabilizes (as in figure below) instead of increasing. I've modified many tuning parameters (batch size, neural net architecture and parameters...) but I still have same problem. Any idea why the mean Q values wouldn't increase ?

