If I understand right your question, you are looking to plot selected numerical columns against a selected categorical column of your dataset, am I right ?
If so, you can have the use of dplyr, tidyr and ggplot2 packages to achieve this.
Starting with this dataframe:
id num1 num2 num3 cat cat2
1 C -0.48892284 1.417909 2.8884577 a f
2 C -0.62795166 1.472390 1.6625688 c f
3 B -0.04691673 2.731553 0.9692889 c e
4 B 0.16261812 -1.152528 2.4308332 a d
5 C 1.29230591 -1.609465 2.2089074 a f
6 E -0.46355650 -1.070132 0.4517597 b f
Basically, you are selecting first your columns of interest (here num1, num2 and cat), then, you reshape data into a longer format using pivot_longer function to obtain something like that:
library(tidyr)
library(dplyr)
df %>% select(id, num1, num2, cat) %>%
pivot_longer(., cols = c(num1,num2), names_to = "Var", values_to = "Val")
# A tibble: 200 x 4
id cat Var Val
<fct> <fct> <chr> <dbl>
1 C a num1 -0.489
2 C a num2 1.42
3 C c num1 -0.628
4 C c num2 1.47
5 B c num1 -0.0469
6 B c num2 2.73
7 B a num1 0.163
8 B a num2 -1.15
9 C a num1 1.29
10 C a num2 -1.61
# … with 190 more rows
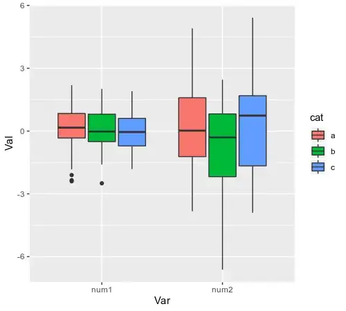
Finally, you can add to this pipe sequence the plotting part by calling ggplot and geom_boxplot :
library(tidyr)
library(dplyr)
library(ggplot2)
df %>% select(id, num1, num2, cat) %>%
pivot_longer(., cols = c(num1,num2), names_to = "Var", values_to = "Val") %>%
ggplot(aes(x = Var, y = Val, fill = cat)) +
geom_boxplot()

Is it what you are looking for ?
Data
set.seed(123)
id <- sample(LETTERS[1:5],100, replace = TRUE)
num1 <- rnorm(100)
num2 <- rnorm(100)*2
num3 <- rnorm(100)+2
cat <- sample(letters[1:3],100, replace = TRUE)
cat2 <- sample(letters[4:6],100, replace = TRUE)
df <- data.frame(id, num1, num2,num3, cat,cat2)