Background
Continuation of Spline interpolation - why cube with 2nd derivative as following Cubic Spline Interpolation in youtube. The example in the youtube is below.

Implemented using scipy.interpolate.splrep and try to understand what the returns of the splrep function are.
Given the set of data points (x[i], y[i]) determine a smooth spline approximation of degree k on the interval xb <= x <= xe.
Returns tck : tuple A tuple
(t,c,k) containing the vector of knots, the B-spline coefficients, and the degree of the spline.
import numpy as np
from pylab import plt, mpl
plt.style.use('seaborn')
mpl.rcParams['font.family'] = 'serif'
%matplotlib inline
def create_plot(x, y, styles, labels, axlabels):
plt.figure(figsize=(10, 6))
for i in range(len(x)):
plt.plot(x[i], y[i], styles[i], label=labels[i])
plt.xlabel(axlabels[0])
plt.ylabel(axlabels[1])
plt.legend(loc=0)
x = np.array([3.0, 4.5, 7.0, 9.0])
y = np.array([2.5, 1.0, 2.5, 0.5])
create_plot([x], [y], ['b'], ['y'], ['x', 'y'])

import scipy.interpolate as spi
interpolation = spi.splrep(x, y, k=3)
IX = np.linspace(3, 9, 100)
IY = spi.splev(IX, interpolation)
create_plot(
[x, IX],
[y, IY],
['b', 'ro'],
['x', 'IY:interpolation'],
['x', 'y']
)

Questions
How to interpret and understand the return values and which resources to look into to understand?
A tuple (t,c,k) containing the vector of knots, the B-spline coefficients, and the degree of the spline.
The return value on Knots
interpolation[0]
array([3., 3., 3., 3., 9., 9., 9., 9.])
I thought the first tuple element would be the knots which would be the x, but not. What are these 3., 3. ... values?
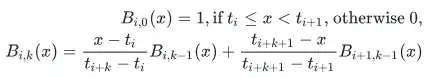
The return values on B-spline co-efficient
interpolation[1]
array([ 2.5 , -2.21111111, 6.18888889, 0.5 , 0. , 0. , 0. , 0. ])
Please help or suggest where I should look into and what to understand about "B-spline coefficient" to be able to interpret these values?
The solution of the first interval is (0.186566, 1.6667, 0.24689), hence I thought these values would be in the 2nd element, but not. How the solution values would relate to the return values?


