How many parameters does a single stacked LSTM have? The number of parameters imposes a lower bound on the number of training examples required and also influences the training time. Hence knowing the number of parameters is useful for training models using LSTMs.
5 Answers
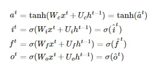
The LSTM has a set of 2 matrices: U and W for each of the (3) gates. The (.) in the diagram indicates multiplication of these matrices with the input $x$ and output $h$.
- U has dimensions $n \times m$
- W has dimensions $n \times n$
- there is a different set of these matrices for each of the three gates(like $U_{forget}$ for the forget gate etc.)
- there is another set of these matrices for updating the cell state S
- on top of the mentioned matrices, you need to count the biases (not in the picture)
Hence total # parameters = $4(nm+n^{2} + n)$
- 641
- 7
- 14
- 1,297
- 2
- 12
- 15
Following previous answers, The number of parameters of LSTM, taking input vectors of size $m$ and giving output vectors of size $n$ is:
$$4(nm+n^2)$$
However in case your LSTM includes bias vectors, (this is the default in keras for example), the number becomes:
$$4(nm+n^2 + n)$$
- 1,831
- 11
- 23
- 34
- 1,113
- 7
- 10
According to this:
LSTM cell structure
LSTM equations
Ingoring non-linearities
If the input x_t is of size n×1, and there are d memory cells, then the size of each of W∗ and U∗ is d×n, and d×d resp. The size of W will then be 4d×(n+d). Note that each one of the dd memory cells has its own weights W∗ and U∗, and that the only time memory cell values are shared with other LSTM units is during the product with U∗.
Thanks to Arun Mallya for great presentation.
- 383
- 3
- 6
to completely receive you'r answer and to have a good insight visit : https://towardsdatascience.com/counting-no-of-parameters-in-deep-learning-models-by-hand-8f1716241889
g, no. of FFNNs in a unit (RNN has 1, GRU has 3, LSTM has 4)
h, size of hidden units
i, dimension/size of input
Since every FFNN(feed forward neural network) has h(h+i) + h parameters, we have
num_params = g × [h(h+i) + h]
Example 2.1: LSTM with 2 hidden units and input dimension 3.
g = 4 (LSTM has 4 FFNNs)
h = 2
i = 3
num_params
= g × [h(h+i) + h]
= 4 × [2(2+3) + 2]
= 48
input = Input((None, 3))
lstm = LSTM(2)(input)
model = Model(input, lstm)
thanks to RAIMI KARIM
- 51
- 1
- 3
To make it clearer , I annotate the diagram from http://colah.github.io/posts/2015-08-Understanding-LSTMs/.
ot-1 : previous output , dimension , n (to be exact, last dimension's units is n )
i: input , dimension , m
fg: forget gate
ig: input gate
update: update gate
og: output gate
Since at each gate, the dimension is n, so for ot-1 and i to get to each gate by matrix multiplication(dot product), need nn+mn parameters, plus n bias .so total is 4(nn+mn+n).
- 111
- 2





