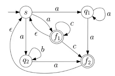
Given an NFA with alphabet $\Sigma = \{a, b, c\}$ defined in the diagram, is there a way to efficiently convert it into a regular expression?
The way I solved this problem is to first convert the NFA into a DFA using equivalent classes, and then proceed with the method described here. I feel in this case, that method is very inconvenient, as there are many loops and multiple accepting states. I wrote down all the partial regexps regarding to each accepting state alone, then unioned them together, then eliminated the redundant parts. My answer is $a(a^+ \cup b^*a \cup c^*)^+$.
I also tried to eliminate the $\varepsilon$ edges first then start from the "sanitized" NFA, but there were way too many edges in this case, and was very confusing during the process.
Edit: as @DavidRicherby has commented below, converting the NFA to DFA first is not necessary and makes the problem more complex.
