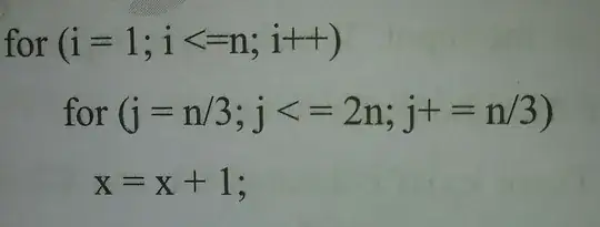
What i came up with is this 1) inner loop goes to 2n and at each. step it increments n/3 times threfore 2log n times it will execute 2) outer goes to n incrementing by 1 threfore n times
Hence for each value of outer loop innner executes n* 2log n times... Threfore O(n*2logn)
Que 1) Is this correct
Que2) If it is Correct then how to derive θ(theta), average case.
Please help me here
