We want to design a Deterministic Finite Automaton (DFA) that accepts Binary Representation of Integers which are divisible by 3.
Now, by accept, in layman terms, we can say that when we are done with scanning string, we should be in one of the multiple possible Final States.
More Formally, Let $w = a_1a_2…a_n$ be a string over the alphabet $Σ$. The automaton accepts the string $w$ if a sequence of states, $r_0, r_1, …, r_n$, exists in $Q$ with the following conditions:
- $r_0 = q_0$
- $r_{i+1} = δ(r_i, a_{i+1})$, for $i = 0, …, n − 1$
- $r_n \in F$
In brief, A word $w=a_{1}a_{2}...a_{n}\in \Sigma ^{*}$ is an accepting word for the automaton if $\overline {\delta }(q_{0},w)\in F$, that is, if after consuming the whole string $w$, the machine is in an accept state.
Approach : Essentially, we need to divide the Binary Representation of Integer by 3, and track the remainder. If after consuming/scanning [From Left to Right] the entire string, remainder is Zero, then we should end up in Final State, and if remainder isn't zero we should be in Non-Final States.
Now, DFA is defined by Quintuple$/5$-Tuple $(Q,q_0,F,\Sigma,\delta)$. We will obtain these five components step-by-step.
$Q$ : Finite Set of States
We need to track remainder. On dividing any integer by $3$, we can get remainder as $0,1$ or $2$. Hence, we will have Three States $Z, V$ and $T$ respectively.
$$Q=\{Z,V,T\}$$
If after scanning certain part of Binary String, we are in state $Z$, this means that integer defined from Left to this part will give remainder $Z$ero when divided by $3$. Similarly, $V$ for remainder $1$, and $T$ for remainder $2$.
$\hspace{6cm}$
Now, we can write these three states by Euclidean Division Algorithm as
$Z=3m\\V=3m+1\\T=3m+2\\ \text{where } m \in \mathbb{Z} \text{ (Set of Integers)}$
$q_0$ : an initial/start state $q_0\in Q$
Now, start state can be thought in terms of empty string $(\varepsilon)$. An $\varepsilon$ directly gets into $q_0$.
Now, what remainder does $\varepsilon$ gives when divided by $3$?
Now, we can append as many $0s$ in left hand side of a Binary Number. In the similar fashion, we can append $\varepsilon$ in left hand side of a Binary String. Thus, $\varepsilon$ in left can be thought of as 0. And $0$ when divided by $3$ gives remainder $0$. Hence, $\varepsilon$ should end in State $Z$. But $\varepsilon$ ends up in $q_0$.
Thus, starting state should be
$$q_0=Z$$
$\hspace{6cm}$
$F :$ a set of accept states, $F\subseteq Q$
Now we want all strings which are divisible by $3$, or which gives remainder $0$ when divided by $3$, or which after complete scanning should end up in state $Z$, and gets accepted.
Hence,
$$F=\{Z\}$$
$\hspace{8cm}$
$\Sigma :$ Alphabet (a finite set of input symbols)
Since we are scanning/reading a Binary String. Hence,
$$\Sigma=\{0,1\}$$
$\delta :$ Transition Function $(δ : Q × Σ → Q)$
Now this $\delta$ tells us that if we are in state $x\in Q$ and next input to be scanned is $y\in \Sigma$, then at which state $z\in Q$ should we go.
In context of this problem, if the string upto this point gives remainder $1/V$ when divided by $3$, and if we append $1$ to string, then what remainder will resultant string give.
Now, this can be analyzed by observing how magnitude of a binary string changes on appending 0 and 1.
In Decimal (Base-$10$), if we add/append $0$, then magnitude gets multiplied by
$10$
Example : $64$, on appending $0$ it becomes $640$
Also, if we append $7$ to decimal, then
Magnitude gets multiplied by $10$, and then we add $7$ to multiplied magnitude.
In Binary (Base-$2$), if we add/append $0$, then magnitude gets multiplied by
$2$ (The Positional Weight of each Bit get multiplied by $2$)
Example : $(1010)_2$ [which is $(10)_{10}$], on appending $0$ it becomes $(10100)_2$ [which is $(20)_{10}$]
Similarly, In Binary, if we append $1$, then
Magnitude gets multiplied by $2$, and then we add $1$.
Example : $(10)_2$ [which is $(2)_{10}$], on appending $1$ it becomes $(101)_2$ [which is $(5)_{10}$]
Thus, we can say that for Binary String $x$,
We will use these relation to analyze three States
Any string in $Z$ can be written as $3m$
- On $0$, it becomes $2(3m)$, which is $3(2m)$, nothing but state $Z$.
- On $1$, it becomes $2(3m)+1$, which is $3(2m)+1$, that is $V$.
[This can be read as if a Binary String is presently divisible by $3$, and we append $1$, then resultant string will give remainder as $1$]
$\hspace{3cm}$
Any string in $V$ can be written as $3m+1$
- On $0$, it becomes $2(3m+1)=6m+2$, which is $3(2m)+2$, state $T$.
- On $1$, it becomes $2(3m+1)+1=6m+3$, which is $3(2m+1)$, state $Z$.
[If $m\in \mathbb{Z}$ (Set of Integers), then $(2m+1)\in \mathbb{Z}$]
$\hspace{3cm}$
Any string in $T$ can be written as $3m+2$
- On $0$, it becomes $2(3m+2)=6m+4$, which is $3(2m+1)+1$, state $V$.
- On $1$, it becomes $2(3m+2)+1=6m+5$, which is $3(2m+1)+2$, state $T$.
$\hspace{3cm}$
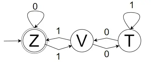
Hence, the final DFA combining Everything

To Test $6$, which in binary is $110$
- On $Z$, scan $1$, go to $V$.
- On $V$, scan $1$, go to $Z$.
- On $Z$, scan $0$, go to $Z$.
String Consumed. We are in $Z\in F$. Hence $110$ accepted.
To Test $5$, which in binary is $101$
- On $Z$, scan $1$, go to $V$.
- On $V$, scan $0$, go to $T$.
- On $T$, scan $1$, go to $T$.
String Consumed. We are in $T\notin F$. Hence $101$ rejected.
To Test $81$, which in binary is $1010001$
- On $Z$, scan $1$, go to $V$.
- On $V$, scan $0$, go to $T$.
- On $T$, scan $1$, go to $T$.
- On $T$, scan $0$, go to $V$.
- On $V$, scan $0$, go to $V$.
- On $V$, scan $0$, go to $V$.
- On $V$, scan $1$, go to $Z$.
String Consumed. We are in $Z\in F$. Hence $1010001$ accepted.