I was provided with the solution to the language being represented. An example of accepted input would be [001][101]. The DFA that would recognize this language is below.

What do the states represent? What are the meaning of the transitions
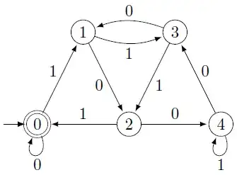
I was provided with the solution to the language being represented. An example of accepted input would be [001][101]. The DFA that would recognize this language is below.

What do the states represent? What are the meaning of the transitions
First look at the second component only. This represents a finite state automaton for strings that have a binary value that is a multiple of five. The states are the value of the string up to now, mod 5. We move from state $x$ with bit $d$ to state $2{\cdot}x+d\pmod 5$. This ensures that $b$ is indeed a multiple of five.
A similar automaton for strings that are a multiple of $3$ see Algorithms computing if a number is a multiple of 3.
The first component is performing a kind of long division, dividing $b$ by $5$ to obtain $a$. Whenever $2{\cdot}x+d \ge 5$ the first component is $1$, otherwise it is $0$.