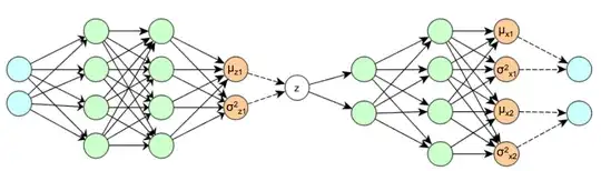
I'm trying to use a VAE (CNN-VAE to be exact) to reduce the dimension of some images I have in a dataset.
I successfully trained my VAE, but now I'm not sure of the latent variable to return.
Should I use $\mu$, $\sigma^2$, or $z$ (which is sampled from $\mu$ and $\sigma^2$) ?

Thank you in advance for the advice.
Liam