Can anybody give me a way that i can use to calculate Complexity Time problems, i mean a way that will work on any complex code whatever it was.
I can solve basic problems, but whenever the problem gets a little complex i freeze which means that my way of thinking and solving is wrong.
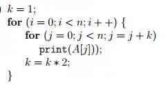
for example like this:
