NOTE: AFAICT, D.W found a hole in this reduction and it is wrong (see comments). Keeping it here for historical reasons.
Intro: first I will reduce the Monotone 3SAT problem to our problem. Though the Monotone 3SAT problem is trivially satisfiable, our problem can further solve the Minimum True Monotone 3SAT problem, which is NP-hard; thus this problem is NP-hard.
Reduction from Monotone 3SAT to our problem
We have a monotone boolean formula expressed as a sequence of variables, and a sequence of clauses. The CNF is of the form $\Phi = (\mathcal V,\mathcal C)$ such that:
$$\forall_{\left(c_i \in \mathcal C\right)} ~ \left.c_i=\left(x_j \vee x_k \vee x_l\right) \vphantom{\LARGE | } \right|_{\left(x_j,x_k,x_l \in \mathcal V\right)}$$
and
$$\left.{\Large{\bigwedge}}_{i=1}^{n}{c_i}\right|_{\genfrac{}{}{0}{}{c_i\in \mathcal C,}{n=\left|\mathcal C\right|}}.$$
Conversion
We construct a graph, $G'=V',E'$. Each vertex in $G'$ has a label; vertices with the same label are eligible for contraction.
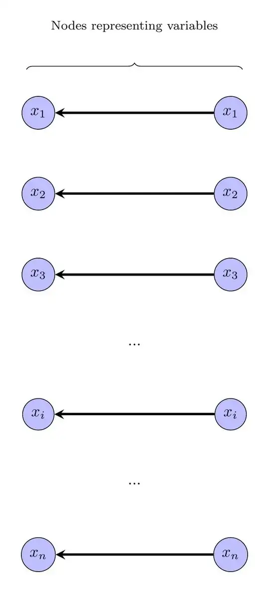
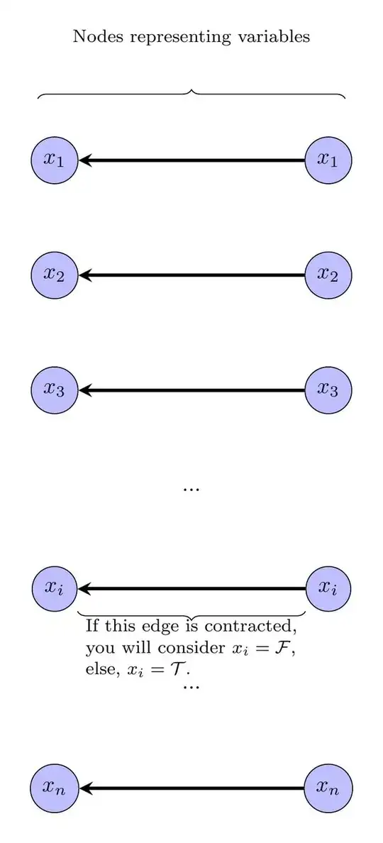
First we construct the graph as follows: for each $x_i \in \mathcal V$, we make two nodes, each labeled $x_i$, and a directed edge from one to the other (click images for high resolution view).

These nodes can of course be contracted, because they have the same label. We will consider variable/nodes that are contracted to be valued as false, and those that are uncontracted to be valued as true:

After this step, $V'$ should contain $2\cdot \left|\mathcal V\right|$ nodes. Next, we introduce the clause constraints. For each clause, $c_i \in \mathcal C, ~ \left.c_i = (x_j \vee x_k \vee x_l) \right|_{x_j,x_k,x_l \in \mathcal V}$, we introduce one node $c_i$, and the following edges:

Note the duplicatation of $c_i$ is for viewing purposes only; there is only $1$ node labeled $c_i$. (click image for full view)
After this step, we should have $2\cdot \left|\mathcal V\right| + |\mathcal C|$ nodes.
Now, if $x_i$, $x_j$ and $x_k$ get contracted, $c_i \rightarrow c_i$ will result in a cycle.
Here is another visualization, unrolling the clause constraint:

Thus, each clause constraint requires that at least one of the variables it contains remain uncontracted; since the uncontracted nodes are valued as true, this requires that one of the variables be true; exactly what Monotone SAT requires for its clauses.
Reduction from Minimum True Monotone 3SAT
Monotone 3SAT is trivially satisfiable; you can simply set all the variables to true.
However, since our DAG minimization problem is to find the most contractions, this translates to finding the satisfying assignment that produces the most false variables in our CNF; which is the same as finding the minimum true variables. This problem is sometimes called Minimum True Monotone 3SAT or here (as an optimization problem, or decision problem), or k-True Monotone 2SAT (as a weaker decision problem); both NP-hard problems. Thus our problem is NP-hard.
References:
Graph sources: