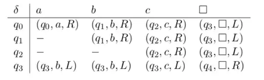
Given the Turing machine $M = ( \{q_0, q_1, q_2. q_3,q_4\}, \Sigma= \{a, b, c \}, \Gamma = \{a, b, c, \}, \delta, q_0, , \{q_4\} )$ where $q_0$ is the start state, $q_4$ the end state and the blank symbol. $\delta$ is defined as:
Let $w$ be any word of length $n$ accepted by the Turing machine $M$. Is it always true, that $M$ will reach $q_4$ in maximum of $1.5 \cdot (n+5)$ steps?
Is there a general strategy for this or do we just try different inputs until we find a contradiction? If none is found, how do we go about proving such a statement?
