I have been trying to solve this problem.
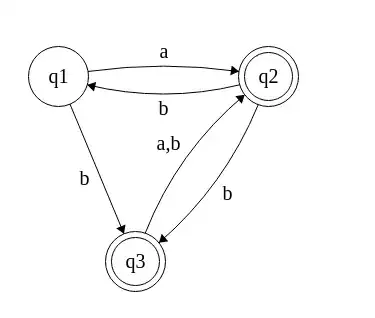
Convert the DFA to a regular expression. 
I extracted these following equation.
$q_1 = q_2a$
$q_2 = q_1a + (a+b)q_3$
$q_3 = q_1b + q_2a $
Also,the solution is $a(aa)^*+a^*b((a+b)a^*b)^*+a^*b((a+b)a^*b)^*(a+b)(aa)^*$
Can somebody tell me how to get to this answer??