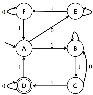
Here is a DFA from a research project. We created the DFA manually. We are interested in which regex is this DFA corresponding to. Certainly, there could be multiple regex corresponding to it; we prefer a simpler one.

Inspired by the first answer from Karolis Juodelė, one correct Answer should be:
(00*10*1|1(0*|(10)*)*110*1)*1(0*|(10)*)*110*