[EDIT: THERE IS A FLOW NETWORK THAT FORCES FORD-FULKERSON TO PUSH FLOW BACK! PLEASE SEE MY OTHER ANSWER.]
Here are some observations towards a collaborative solution.
This is not a full answer.
Discussion
Narek's proof sketch
purports to show that every maximum flow can be reached by Ford-Fulkerson (FF).
The counter-example linked to by D.W. shows that this is not the case.
Oerpli's approach
attempts to show
that every flow $f^*$ that can be reached by FF
can be reached without pushing back flow,
but this turns out to be false too:
Lemma 1. There is a max flow $f^*$ such that FF can produce $f^*$, but no execution of FF can produce $f^*$ without pushing back flow.
Motivated by these difficulties,
Lemma 2 below gives two equivalent characterizations of OP's question that may be somewhat easier to work with. Each characterization gives a necessary and sufficient condition for the first path $p$ chosen by FF to have, in any execution that never pushes flow back. (Conversely, if every iteration chooses such a path $p$ in the current residual graph with back edges deleted, the execution never pushes flow back.)
For any path $p$,
let $\delta(p) = \min_{e\in p} \textsf{capacity}(e)$
be $p$'s minimum edge capacity.
Lemma 2. The following statements are equivalent (either none holds or they all hold):
- Every flow network admits an execution of FF that never pushes flow back. (This is the statement that OP asks about.)
- Every $s$-$t$ flow network has a max flow $f^*$ and $s$-$t$ path $p$ such that $\min_{e\in p} f^*(e) = \delta(p)$.
- Every $s$-$t$ flow network has an $s$-$t$ path $p$ such that reducing the capacity of every edge on $p$ by $\delta(p)$ decreases the max flow value by $\delta(p)$.
Oerpli's approach
conjectures that Statement 2 above holds (for some path $p$) for any flow $f^*$ that is reachable by FF,
but Lemma 1 disproves that conjecture.
Conjecture
FWIW, we conjecture that a max-flow $f^*$ that satisfies Statement 2 (for some path $p$) can always be found as follows.
Consider the following standard flow-decomposition-based LP for max flow as a packing problem.
Let $E$ be the set of edges.
Let $P$ be the set of $s$-$t$ paths.
Let $P_e$ be the set of $s$-$t$ paths that contain edge $e$.
$$
\begin{align}
\textsf{maximize } & \sum_{p\in P} f_p \\
\sum_{p\in P_e} f_p & {} \le \textsf{capacity}(e) && (e \in E) \\
f_p & {} \ge 0 && (p\in P)
\end{align}
$$
Now take $f^*$ to be any optimal basic feasible solution to this LP.
Let $P_{f^*}=\{p \in P : f^*(p)\ne 0\}$ be the support of $f^*$.
There are $|P_{f^*}|$ tight edge-capacity constraints
that uniquely determine $f^*$
among flows with support in $P_{f^*}$.
It follows that
the number of edges saturated by $f^*$
is at least $|P_{f^*}|$.
Although the latter property alone is not enough,
it does rule out the examples linked to by D.W.
and in Lemma 1.
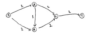
Proof of Lemma 1
$~~~~~~~~~~~~~~~~~~~~~~~~~~~$ 
Each edge in the above flow network is labeled with its capacity.
FF can first choose the path $(S, A, B, C, T)$,
then the path $(S, B, A, C, T)$.
It will augment the flow by 1 unit on each path.
The second augmentation cancels the flow on edge $(A, B)$.
The resulting maximum flow $f^*$ sends one unit
along the path $(S, A, C, T)$,
and one unit along $(S, B, C, T)$.
This $f^*$ cannot be reached by FF without pushing back flow on $(A, B)$. Indeed, any execution of FF that does not push flow on $(A, B)$ must choose its first path among the remaining edges, all of which have capacity 2, so will terminate after one iteration with flow of 2 units, along just one of the two paths $(S, A, C, T)$ or $(S, B, C, T)$.
$~~~\Box$
Proof of Lemma 2
Statement 1 implies Statement 2, because in any execution that never pushes flow back, the path $p$ chosen in the first iteration has $\delta(p)$ units sent along its edges, and then in subsequent iterations flow is never cancelled on an edge,
so $\min_{e\in p} f^*(e) \ge \delta(p)$.
And by definition $\min_{e\in p} f^*(e) \le \delta(p)$.
Statement 2 implies Statement 3 because, after reducing the capacity of every edge on $p$ as described in Statement 2 with respect to some max flow $f^*$, in the resulting graph the flow $f'$ obtained from $f^*$ be reducing the flow on each edge $e\in p$ by $\delta(p)$ is feasible, and has value $|f^*| - \delta(p)$.
(And no flow $g$ in the resulting graph can have a larger value,
otherwise adding $\delta(p)$ units along $p$ to $g$
would give a flow in the original graph with value larger than $f^*$.)
Statement 3 implies Statement 1 as follows.
As FF executes, let $f$ denote its current flow.
Let $G_f$ denote the residual graph.
Let $G'_f$ denote the graph obtained from $G_f$
by deleting all back edges and zero-capacity edges.
In each iteration of FF,
provided that $G'_f$ has an $s$-$t$ path,
make FF choose its augmenting path
to be the path promised to exist in $G'_f$ by Statement 3
(applied to $G'_f$).
This $p$ also exists in the residual graph $G_f$, so is a valid choice for FF.
Let $F(G)$ denote the max-flow value in a given flow network $G$.
Note $G'_f$ is a subgraph of $G_f$, so $F(G'_f) \le F(G_f)$.
We will show that this execution of FF maintains the invariant
$$F(G'_f) = F(G_f).$$
The invariant holds trivially at the start,
when $f$ is the all-zero flow.
Consider any iteration that starts with the invariant true.
Let $f$ and $f'$ be the flows at the start and end of the iteration, respectively.
Flow $f'$ is obtained from $f$
by pushing $\delta$ units of flow along the chosen path $p$,
where $\delta$ is $p$'s minimum edge capacity in $G_f$.
Because FF's termination condition is not met, $F(G_f) > 0$.
So by the invariant $F(G'_f) > 0$.
So $G'_f$ has an $s$-$t$ path,
and $p$ is indeed chosen by applying Statement 3 to $G'_f$.
So $p$ is in $G'_f$ and has minimum edge capacity $\delta$ in $G'_f$.
The difference between $G'_f$ and $G'_{f'}$
is just that in $G'_{f'}$ each edge on $p$
has its edge capacity reduced by $\delta$.
Now
$$\begin{align}
F(G'_{f'}) & {} = F(G'_f) - \delta
&& (\textsf{by the property of } p \textsf{ from Statement 3}) \\
& {} = F(G_{f}) - \delta
&& (\textsf{by the invariant } F(G'_f) = F(G_f)) \\
& {} = F(G_{f'})
&& (\textsf{by the standard proof of correctness for FF})
\end{align}
$$
So the invariant is maintained.
As observed in the proof above, it follows that
in each iteration the path is chosen from $G'_f$.
Thus, this execution of FF never pushes flow back.
$~~~~\Box$