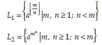
How these two languages be regular.If there is comparison between m and n since (n < m) is the condition to be satisfied.
Asked
Active
Viewed 70 times
How these two languages be regular.If there is comparison between m and n since (n < m) is the condition to be satisfied.