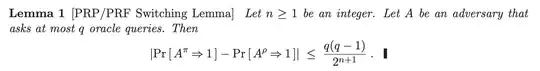
The PRP/PRF switching lemma is usually denoted as follows:

I understand the proof of this version of the bound $\frac{q(q-1)}{2^{n+1}}$ and the game-playing technique behind it.
However, I came across a different version of this lemma recently, which is used more often in papers. It is denoted as follows:

This version of the bound turns out to be $\frac{q^{2}}{2^{n+1}}$ (or something like this). The corresponding proof (Page 150) does not explain why the number of collision pairs is $\frac{q^{2}}{2}$ instead of $\frac{q(q-1)}{2}$ when there are $q$ queries.
So my question is:
Why the bound is $\frac{q^{2}}{2^{n+1}}$ instead of $\frac{q(q-1)}{2^{n+1}}$ in the latter version of this switching lemma ? How to prove it ? Thanks!