I've been trying to implement the NPA hierarchy in MATLAB using CVX library. To start off with, I thought of finding the bound of CHSH using the first level of NPA hierarchy. I represented my gram matrix as an addition of 2 matrices, One consisting of all the non-negative values and the other consisting of complex values. I believe that I have added all the necessary constraints, but when I'm trying to maximize my objective function, it's giving me an error, saying that it's convex but its maxima is unbounded, which is not the case for CHSH inequality.
cvx_begin sdp
variable T(5,5) nonnegative semidefinite
variable R(5,5) complex semidefinite
X=T+R;
maximize norm(X(4,2)+X(4,4)+X(5,2)-X(5,3)-X(2,1)-X(4,1)+0.5);
subject to
X(1,1)==1;
X>=0;
X==X';
T(1,1)==1;
T==T';
0<=T(2,1)<=1;
0<=T(3,1)<=1;
0<=T(4,1)<=1;
0<=T(5,1)<=1;
0<=T(2,2)<=1;
0<=T(4,2)<=1;
0<=T(5,2)<=1;
0<=T(3,3)<=1;
0<=T(4,3)<=1;
0<=T(5,3)<=1;
0<=T(4,4)<=1;
0<=T(5,5)<=1;
T(3,2)==0;
T(4,3)==0;
T(2,1)==T(2,2);
T(3,1)==T(3,3);
T(4,1)==T(4,4);
T(5,1)==T(5,5)
abs(R(3,2))<=1;
abs(R(5,4))<=1;
R(2,1)==0;
R(3,1)==0;
R(4,1)==0;
R(5,1)==0;
R(2,2)==0;
R(4,2)==0;
R(5,2)==0;
R(3,3)==0;
R(4,3)==0;
R(5,3)==0;
R(4,4)==0;
R(5,5)==0;
R(1,1)==0;
cvx_end
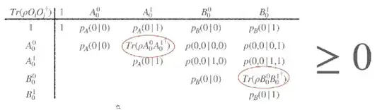
Gram matrix where the rows and columns correspond to the projective operators with respect to a particular input and output for Alice and Bob.

This is the expression that I'm trying to optimize.