$$\lim_{x \to 16}\; \dfrac{(4-\sqrt x)}{(16x-x^2)}$$
I tried to multiply it all by the (forgot the term) $4+\sqrt x$
but that doesn't seem to help, I get 16-16/a very negative number.
$$\lim_{x \to 16}\; \dfrac{(4-\sqrt x)}{(16x-x^2)}$$
I tried to multiply it all by the (forgot the term) $4+\sqrt x$
but that doesn't seem to help, I get 16-16/a very negative number.
I see you've asked a series of these questions now, so I think that a simple hint will suffice.
HINT:
$(16x - x^2) = x(16 - x) = x(4 - \sqrt x)(4 + \sqrt x)$
Multiply top and bottom by $4+\sqrt{x}$ as you have done. Then factorise the denominator (there's a factor of x) and notice that something cancels. Then the limit should be easy to calculate.
Jordan,
I went through all of your limit problems,computed them but couldn't post the solution as it was already there. Frankly i found them very usefull as i'am a beginner too. Here's the solution for the last one.
$\lim\limits_{x \to 16}\; \dfrac{(4-\sqrt x)}{(16x-x^2)}$
$(16x - x^2) = x(16 - x) = x(4 - \sqrt x)(4 + \sqrt x)$
Use the above hint and you'll get lim x-->16 (16-x)/x(16-x) = 1/16.I'am sorry for not using that crap called Latex or whatever,I'am realy having loads of trouble with it and it's very annoying.Hope i get somehelp in formatting math expressions.
Hope you found that helpfull.Remember continue to ask as many as questions when you are in doubt.This website is purely dedicated for math.Never think that you are wasting someone else's time.If they don't want to answer chuck them.If someone says that your questions are stupid just ignore them.[fortunately no one has ever said so far].Here are a bunck of questions that i had previously asked on Limits that should be of great help.
One last question on the concept of limits
Good Luck Hope to see you soon here.
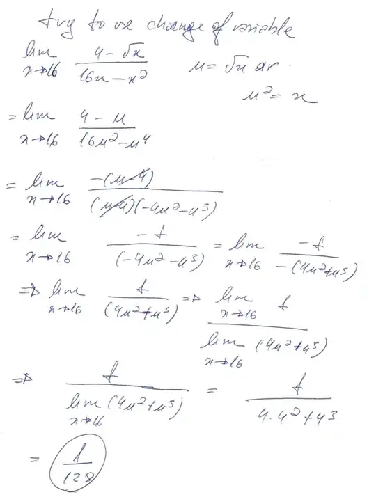
Try to use the change of variable. You can see the entire work here. 