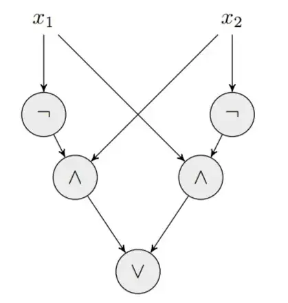
A boolean circuit C has n inputs and m outputs, and is constructed with AND, OR, and NOT gates. Each gate has fan-in 2 except the NOT gate which has fan-in 1. The out-degree can be any number. A circuit is not allowed to have any cycles.
For example construction of a circuit C computing the XOR function, i.e., $C(x_1, x_2) = 1 \iff x_1\neq x_2:$
I need to construct a circuit family for language $L=\{\langle k, m, j \rangle|(k+m)[j]=1\}.$ That means, we need to construct the circuit which checks whether the $j$-th bit of the sum of given binary numbers $k$ and $m$ is $1$.
My question is how to represent the $L$ as a expression of CNF form or DNF form by which I can easily construct the circuit?
