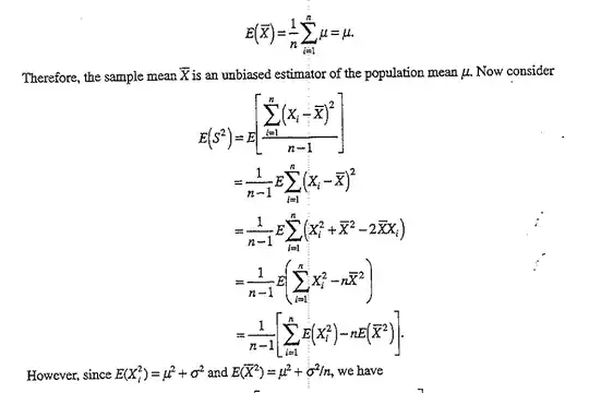
The following easy proof is well known to all students of statistics. I studied it three years ago and at present I can not remember two steps of it. If you can help me a little.
$$E({X_i}^2) = \mu^2 + \sigma^2$$ $$E(\bar{X}^2) = \mu^2 + \frac{\sigma^2}{n}$$
How to prove the above two results. You may give me some hints or the complete proof. I prefer the last one.
The main result with it proofs is mentioned below.
Thank you for your answer.


