I'm having trouble solving this sum.
Can't figure out what I'm dong wrong.

Thanks!
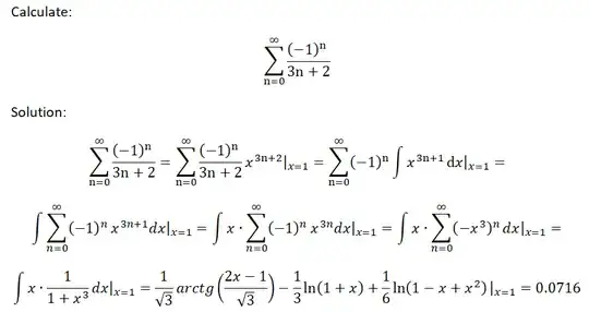
$$ \left[-\dfrac{\ln\left(\left|x+1\right|\right)}{3}+\dfrac{\ln\left(x^2-x+1\right)}{6}+\dfrac{\arctan\left(\frac{2x-1}{\sqrt{3}}\right)}{\sqrt{3}} \right]_{0}^{1}\\ = \dfrac{{\pi}}{2{\cdot}3^\frac{3}{2}}-\dfrac{6\ln\left(2\right)-\sqrt{3}{\pi}}{18} \approx 0.3735507278914242 $$
The term $\displaystyle\left.\int f(x)\, dx \right|_{x=a}$ makes no sense since the antiderivative of a function is not unique, you need to consider the integration constant. If $\displaystyle\int f(x)\, dx = F(x)+C$ then $\displaystyle\left.\int f(x)\, dx \right|_{x=a} = F(a)+C$ is not determined until you specify $C$.
That's what definite integrals are for, you should use $\displaystyle\frac{1}{3n+2}=\int_{0}^1 x^{3n+1}\, dx$