Want to show if A, B are countable $\implies$ AxB is countable.
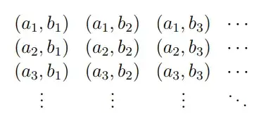
I know I want to show that the elements of AxB can be enumerated (hence, AxB is bijective to $\mathbb{N}$), but how can I proceed from the table of elements of AxB below?
Asked
Active
Viewed 200 times
0