0

How do we solve a question like this with only the skills in Calculus 1. Or is trial and error our best shot?

I tried separating it to one variable on each side, but ended up with $y \ln y + y + c = \frac {x^2}{2} +c$ and couldn't reduce further to solve for y...

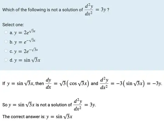
enter image description here

nvs0000
  • 681

1 Answers1

1

You ask how to solve this problem using only Calculus I skills, not how to solve this equation. The problem does not ask you to solve the equation, it offers several functions and asks which, if any, is not a solution to the equation. That can be done by differentiating each function and plugging that into the equation. That is NOT "trial and error"!

user247327
  • 19,020
  • 2
  • 15
  • 21