3

On wikipedia, I know it's not the best reference but still, there is an article about fractional iterations. I attach the fragment I want to ask about.

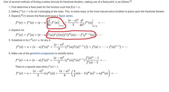
How do we calculate derivative of fractional iteration? I know this formula works for natural $n$ but how does it work with fractions? I didn't find anything on internet but maybe I just dont know where to look for.

pic1

jd27
  • 3,489

1 Answers1

1

Here's a partial answer:

You might want to take a look at fractional calculus

The notation here is a bit confusing.

$f^n(x)$ is often used for the nth derivative of f (ie: $\frac{d^nf}{dx^n}$)

However here it is being used for repeated functional composition.

ie: $f(f(f(...))) $

One could consider an operator $H$ that when applied twice to a function gave the derivative.

$H(H(f(x))) = \frac{df}{dx} = D(F(x))$

$H$ could be thought of as the fractional derivative $D^\frac{1}{2}$.

Wikipedia gives an example of computing such an operator

$\frac{d^a}{dx^a} x^k = \frac{k!}{(k-a)!}x^{k-a}$

They replace the factorial with the gamma function to allow for non integer values.

I'm not sure if there's a proof of the uniqueness of such a solution.

sav
  • 1,050
  • 5
  • 12
  • I suppose one could consider a transform H such that $H(H(x)) = f(x)$ and consider $f^\frac{1}{2} = H$ – sav Apr 03 '20 at 12:24
  • Thats pretty much a transformation im looking to calculate derivative from. More specific im doing a research about functional iterative roots, and this is the problem im facing: Given a function $F$ we define $F^{\frac{1}{n}}$ as a function that composited with itself $n$ times gives $F$. I want to calculate a simple derivative $\frac{d}{dx}$ from function $F^{\frac{1}{n}}$. I know how it would look like if the degree of compostion was natural but i have no clue on how to calculate that from function that is "fractioanly coposited" – Radosław Gdula Apr 03 '20 at 17:25
  • hmm.. The method might be different for every function. Given f(x) = x + b ;

    $f^n(x) = x + nb$ so $f^\frac{1}{2}(x) = x + 0.5b$

    – sav Apr 04 '20 at 02:58
  • This may be relevant: https://math.stackexchange.com/questions/59023/how-to-calculate-fx-in-ffx-ex/254629#254629 – Anixx May 18 '25 at 01:13