A bit of a soft question here. But what techniques are people using to efficiently do analytical math that would have typically been handwritten in the past?
For example, if you're working with a really complicated system, that involves many types of things. (Maybe for example you do a lot of algebra to show that it reduces to a set of complicated algebraic equations (maybe nonlinear so you can't just invert a matrix). What techniques do you do to make things more clear?
The reason why I ask this question is that over the recent years, I've noticed more and more that there are now many different types of "techniques" to keep track of complicated symbolic math. I understand this is an unconventional question, but I strongly believe that there is a lot of "skill" to solving complicated symbolic math, and despite my best efforts, I'm sure there are way better ways of doing things efficiently.
To give some examples:
- Mathematica
Pros: Mathematica is great in that it can do these symbolic calculations for you.
Cons: So far I find that to have mathematica do 100% of the work, it usually takes more effort to program it to give you the answer in the right format. At the moment, my current method is to do handwritten math to set up an equation or something mathematica can calculate, then take Mathematica's answer, screenshot it to my clipboard (windows+shift+s), paste it into OneNote, and work with it in handwritten. Visually it looks something like this:
- Computational Notational Techniques
Pros:
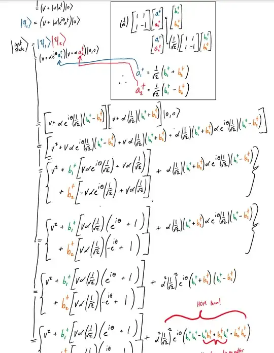
A professor at my university would hand out handwritten notes that were so elegant that anyone who saw them would copy his notational style for doing math. The most helpful thing that I saw him use was to draw a line connecting all of the equations, and using arrows for substitutions. Here is an example of notes I made based on that style:
I am very interested in knowing what other techniques like this exist for making handwritten documents significantly more readable.
- Electronic Notebooks
Pros:
Personally, I don't think there's a good case for handwritten notes to be done on paper anymore, but maybe mathematicians will disagree here. Onenote so far has been a big improvement for me personally, as the copy+paste function is very useful for writing down handwritten equations faster than pen and paper.
Cons:
Onenote has not tools specifically for mathematics, and I don't know of an alternative software specifically for mathematical notes. Technically there's a "translate to math" button, but it's terrible and has no way of recognizing notation of an advanced field.
- LaTeX
Pros:
It makes a lot of sense to write things in LaTeX first, as your work will be eventually translated to LaTeX at some point.
Cons:
Writing complicated equations in Latex can take a lot of time and effort. There are technically ways of converting Mathematica outputs into LaTeX, but I've found that the "LaTeX" converted mathematica text is very difficult to interpret and has very messy syntax so it makes it very difficult to edit what you're working with.
Anyway those are some examples of what I know exists out there currently. But I'm sure there are many different techniques and skills people have developed to be able to work with more and more complicated equations in this digital age.

