Suppose $\frac{dy}{dx}=x\ln x,$ my teacher asks me to find $y$.
So I assume I got to integrate the right hand side:
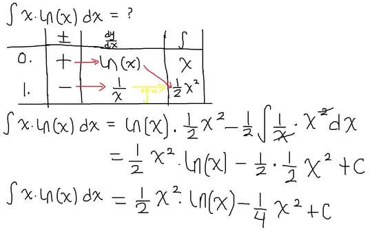
$$\int x\ln x\, dx$$
The result I got is $$ \int x\ln x\, dx=x\ln x-x+C\tag{1} $$ But, apparently, it is wrong since taking the derivative gives: $$ (x\ln x-x+C)'=\ln x+1-1=\ln x. $$
Can you please give me a hand?
