1

I've been asked to find the curl of a vector field in spherical coordinates. The question states that I need to show that this is an irrotational field.

I'll start by saying I'm extremely dyslexic so this is beyond difficult for me as I cannot accurately keep track of symbols.

$\mathbf{F}(r,\theta,\phi )=r^2 \sin^2\theta (3\sin\theta \cos\phi \mathbf{e}_{r}+3\cos\theta \cos\phi \mathbf{e}_{\theta }-\sin\phi \mathbf{e}_{\phi })$

None of the examples in the text look remotely like this so I'm completely lost. I can only assume that I'm supposed to multiply out the first term across the brackets, but no similar examples are provided and I can't seem to find any online so I can't tell if this is what to do or not.

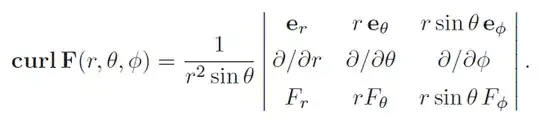
I started out by finding my formula using the matrix method in my handbook, that went ok.

Curl in spherical coordinates

I then wrote out my equation using the determinants and simplified my terms symbolically which also went ok.

$\mathbf{e}_{r}\left ( \frac{1}{r} \frac{\partial F_{\phi }}{\partial \theta }-\frac{1}{r\sin\theta }\frac{\partial F_{\theta }}{\partial \phi } \right )+e_{\theta }\left ( \frac{1}{r\sin\theta }\frac{\partial F_{r}}{\partial \theta }-\frac{\partial F_{\theta }}{\partial r} \right )+e_{\phi }\left (\frac{\partial F_{\theta }}{\partial r} -\frac{1}{r}\frac{\partial F_{r}}{\partial \theta }\right )$

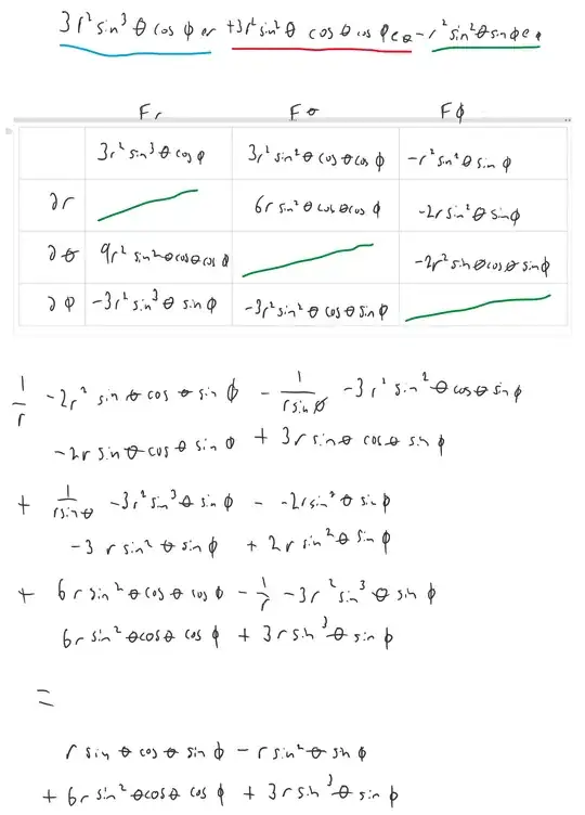
I then tried to start by multiplying the bracket out and finding my partial derivatives. Then I placed my terms in the formula.

I arrived at this: My working out

In all example cases, there are instances where zeros appear as the partial derivatives and cancellation of terms is obvious.

When I put these partials into my formula, nothing seems to cancel with anything.

I don't know if I have something conceptually wrong or if I have something dyslexically wrong.

I'm out of ideas and I've literally taken 6 hours to get this far with it, and 30 minutes just to type this question. I need help!

C. Wolfe
  • 184

1 Answers1

5

$\require{cancel}$ The problem starts with the determinant, I'm going to highlight just the first term as an example

\begin{eqnarray} {\rm curl} ({\bf F}) &=& \color{red}{\frac{1}{r^2\sin \theta}}\left| \begin{array}{ccc} \color{blue}{{\bf e}_r} & r{\bf e}_\theta & r\sin\theta{\bf e}_\phi \\ \partial/\partial_r & \color{orange}{\partial/\partial \theta} & \color{magenta}{\partial /\partial\phi} \\ F_r & \color{olive}{rF_\theta} & \color{purple}{r\sin\theta F_\phi} \end{array}\right| \\ &=& \color{red}{\frac{1}{r^{\cancel{2}} \sin\theta}} \left[\color{orange}{\frac{\partial}{\partial\theta}}\left(\color{purple}{\cancel{r}\sin\theta F_\phi} \right) - \color{magenta}{\frac{\partial}{\partial\phi}}\left(\color{olive}{\cancel{r} F_\theta}\right)\right]\color{blue}{{\bf e}_r} + (\cdots){\bf e}_\theta + (\cdots){\bf e}_\phi \\ &=& \color{red}{\frac{1}{r \sin\theta}} \left[\color{orange}{\frac{\partial}{\partial\theta}}\left(\color{purple}{\sin\theta F_\phi} \right) - \color{magenta}{\frac{\partial}{\partial\phi}}\left(\color{olive}{ F_\theta}\right)\right]\color{blue}{{\bf e}_r} + (\cdots){\bf e}_\theta + (\cdots){\bf e}_\phi \\ \end{eqnarray}

Now it is time to replace your field. We have

\begin{eqnarray} \color{purple}{F_\phi} &=& -r^2\sin^2\theta\sin\phi \\ \color{olive}{F_\theta} &=& 3r^2\sin^2\theta\cos\theta\cos\phi \\ \end{eqnarray}

So that

\begin{eqnarray} {\rm curl}(F) &=& \color{red}{\frac{1}{r \sin\theta}} \left[\color{orange}{\frac{\partial}{\partial\theta}}\left(\color{purple}{-r^2\sin^3\theta\sin\phi} \right) - \color{magenta}{\frac{\partial}{\partial\phi}}\left(\color{olive}{ 3r^2\sin^2\theta\cos\theta\cos\phi}\right)\right]\color{blue}{{\bf e}_r} + (\cdots){\bf e}_\theta + (\cdots){\bf e}_\phi \\ &=& \color{red}{\frac{1}{r \sin\theta}} \left[\color{purple}{-r^2\sin\phi}\color{orange}{\frac{\partial}{\partial\theta}}\left(\color{purple}{\sin^3\theta} \right) - \color{olive}{3r^2\sin^2\theta\cos\theta}\color{magenta}{\frac{\partial}{\partial\phi}}\left(\color{olive}{ \cos\phi}\right)\right]\color{blue}{{\bf e}_r} + (\cdots){\bf e}_\theta + (\cdots){\bf e}_\phi \\ &=& \color{red}{\frac{1}{r \sin\theta}} \left[\cancel{\color{purple}{-3r^2\sin\phi\sin^2\theta\cos\theta}} + \cancel{\color{olive}{3r^2\sin^2\theta\cos\theta\sin\phi}}\right]\color{blue}{{\bf e}_r} + (\cdots){\bf e}_\theta + (\cdots){\bf e}_\phi \\ &=& 0\color{blue}{{\bf e}_r} + (\cdots){\bf e}_\theta + (\cdots){\bf e}_\phi \\ \end{eqnarray}

I will let you finish the other two components

caverac
  • 19,783
  • Thanks! I think I can see what to do from here. I've never done curl before so I'm on a steep learning curve. – C. Wolfe Nov 25 '18 at 21:21
  • @C.Wolfe Happy to help. If I may give you a piece of advice, don't get caught up in names, a curl is just a bunch of derivatives arranged in a very specific order. Use colors to track terms, it will help you a lot – caverac Nov 25 '18 at 22:22
  • 1
    Actually, I did just that, I used all sorts of colours, which was easy because I do my work in MS OneNote. I followed your method and behold, everything cancelled with no fancy trig identity trickery needed!

    Once I realised I needed to multiply the matrix coefficients before starting the process, it all clicked.

    – C. Wolfe Nov 25 '18 at 22:53