Hardy proved in 1914 that an infinity of zeros were on the critical line ("Sur les zéros de la fonction $\zeta(s)$ de Riemann" Comptes rendus hebdomadaires des séances de l'Académie des sciences. 1914).
Of course other zeros could exist elsewhere in the critical strip.
Let's exhibit the main idea starting with the Xi function defined by :
$$\Xi(t):=\xi\left(\frac 12+it\right)=-\frac 12\left(t^2+\frac 14\right)\,\pi^{-\frac 14-\frac{it}2}\,\Gamma\left(\frac 14+\frac{it}2\right)\,\zeta\left(\frac 12+it\right)$$
$\Xi(t)$ is an even integral function of $t$, real for real $t$ because of the functional equation (applied to $s=\frac 12+it$) :
$$\xi(s)=\frac 12s(s-1)\pi^{-\frac s2}\,\Gamma\left(\frac s2\right)\,\zeta(s)=\frac 12s(s-1)\pi^{\frac {s-1}2}\,\Gamma\left(\frac {1-s}2\right)\,\zeta(1-s)=\xi(1-s)$$
We observe that a zero of $\zeta$ on the critical line will give a real zero of $\,\Xi(t)$.
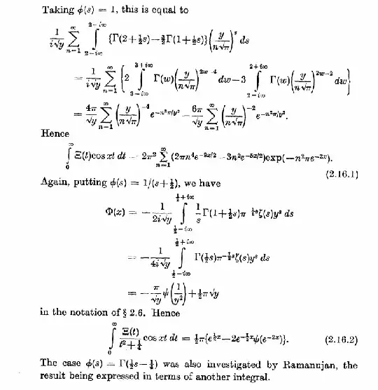
Now it can be proved (using Ramanujan's $(2.16.2)$ reproduced at the end) that :
$$\int_0^\infty\frac{\Xi(t)}{t^2+\frac 14}\cos(x t)\,dt=\frac{\pi}2\left(e^{\frac x2}-2e^{-\frac x2}\psi\left(e^{-2x}\right)\right)$$
where $\,\displaystyle \psi(s):=\sum_{n=1}^\infty e^{-n^2\pi s}\ $ is the theta function used by Riemann
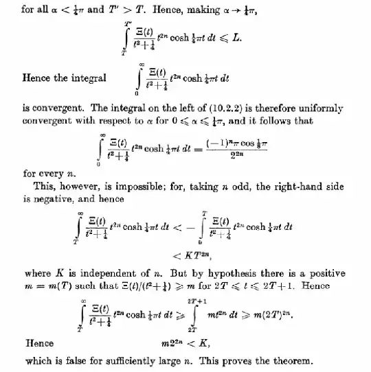
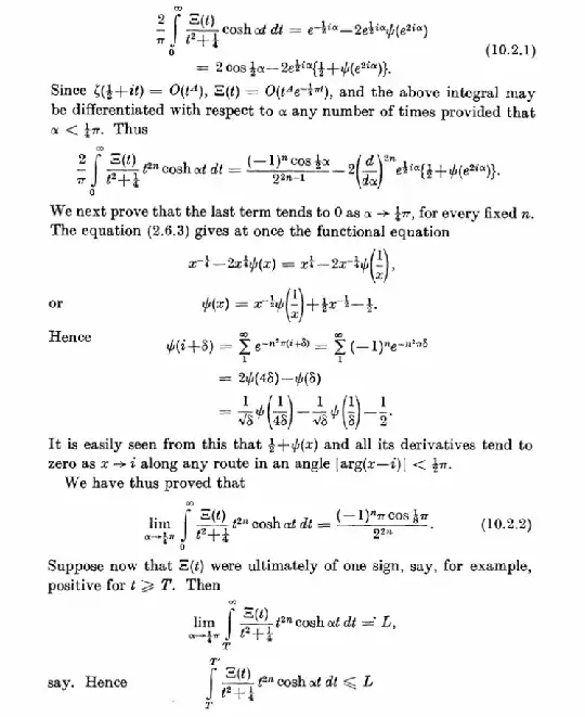
Setting $\ x:=-i\alpha\ $ and after $2n$ derivations relatively to $\alpha$ we get (see Titchmarsh's first proof $10.2$, alternative proofs follow in the book...) :
$$\lim_{\alpha\to\frac{\pi}4}\,\int_0^\infty\frac{\Xi(t)}{t^2+\frac 14}t^{2n}\cosh(\alpha t)\,dt=\frac{(-1)^n\,\pi\,\cos\bigl(\frac{\pi}8\bigr)}{4^n}$$
Let's suppose that $\Xi(t)$ doesn't change sign for $\,t\ge T\,$ then the integral will be uniformly convergent with respect to $\alpha$ for $0\le\alpha\le\frac{\pi}4$ so that, for every $n$, we will have (at the limit) :
$$\int_0^\infty\frac{\Xi(t)}{t^2+\frac 14}t^{2n}\cosh\left(\frac {\pi t}4\right)\,dt=\frac{(-1)^n\,\pi\,\cos\bigl(\frac{\pi}8\bigr)}{4^n}$$
But this is not possible since, from our hypothesis, the left-hand side has the same sign for sufficiently large values of $n$ (c.f. Titchmarsh) while the right part has alternating signs.
This proves that $\Xi(t)$ must change sign infinitely often and that $\zeta\left(\frac 12+it\right)$ has an infinity of real solutions $t$.
Probably not as simple as you hoped but a stronger result!
$$-$$
From Titchmarsh's book "The Theory of the Riemann Zeta-function" p. $35-36\;$ and $\;255-258$ :


- In 2.16, the last equal sign before "in the notation of §2.6" is unclear to me. How is this integral evaluated?
- Why does $\Xi(t)=O(t^A e^{-1/4 \pi t})$ imply that the integrated function is differentiable wrt $\alpha$ whenever $\alpha < 1/4 \pi$?
– cxrlo Jul 23 '20 at 18:58$;\displaystyle e^{-x}=\frac 1{2\pi i}\int_{\sigma-i\infty}^{\sigma+i\infty}\Gamma(s),x^{-s},ds;$ : \begin{align} \Phi(x)&=-\frac 1{4i\sqrt{y}}\int_{\frac 12-i\infty}^{\frac 12+i\infty}\Gamma\left(\frac s2\right)\pi^{-s/2}\zeta(s),y^s,ds\ &=-\frac 1{4i\sqrt{y}}\sum_{n=1}^\infty\int_{\frac 12-i\infty}^{\frac 12+i\infty}\Gamma\left(\frac s2\right)\left(\frac {n\sqrt{\pi}}y\right)^{-s},ds\ \end{align}
– Raymond Manzoni Jul 24 '20 at 00:25