105

Consider the class of rational functions that are the result of dividing one linear function by another:

$$\frac{a + bx}{c + dx}$$

One can easily compute that, for $\displaystyle x \neq \frac cd$ $$\frac{\mathrm d}{\mathrm dx}\left(\frac{a + bx}{c + dx}\right) = \frac{bc - ad}{(c+dx)^2} \lessgtr 0 \text{ as } ad - bc \gtrless 0$$ Thus, we can easily check whether such a rational function is increasing or decreasing (on any connected interval in its domain) by checking the determinant of a corresponding matrix

\begin{pmatrix}a & b \\ c & d\end{pmatrix}

This made me wonder whether there is some known deeper principle that is behind this connection between linear algebra and rational functions (seemingly distant topics), or is this probably just a coincidence?

Kaj Hansen
  • 33,511
stats_model
  • 1,131

7 Answers7

71

I'll put it more simply. If the determinant is zero, then the linear functions $ax+b$ and $cx+d$ are rendered linearly dependent. For a pair of monovariant functions this forces the ratio between them to be a constant. The zero determinant condition is thereby a natural boundary between increasing and decreasing functions.

Oscar Lanzi
  • 48,208
39

What you are looking at is a Möbius transformation. The relationship between matrices and these functions are given in some detail in the Wikipedia article. Most of this is not anything that I know much about, perhaps another responder will give better details.

What you can find is that the composition of two of these functions corresponds to matrix multiplication with the matrix defined as you have inferred from the determinant issue.

These are also related to continued fraction arithmetic since a continued fraction just is a composition of these functions. A simple continued fraction is a number $a_0+\frac{1}{a_1 + \frac{1}{a_2 + \cdots}}$ and you can see almost directly that each level of the continued fraction is something like $t+\frac{1}{x} = \frac{tx+1}{x}$ where "x" is "the rest of the continued fraction." Each time we expand a bit more of the continued fraction, we engage in just this composition of functions as above. So Gosper used this relationship to perform term-at-a-time arithmetic of continued fractions. In practice this means representing a continued fraction as a matrix product.

For instance, $1+\sqrt{2} = 2 + \frac{1}{2+\frac{1}{2 + \cdots}}$ so you could represent it as $$\prod^{\infty} \pmatrix{2 & 1 \\ 1 & 0}$$ And to find out what $\frac{3}{5}(1+\sqrt{2})$ is you could then calculate, to arbitrary precision, $$\pmatrix{3 & 0 \\ 0 & 5}\times \prod^{\infty} \pmatrix{2 & 1 \\ 1 & 0}$$

33

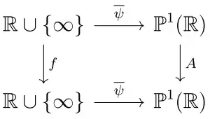
One way to see it is via the action of $\mathrm{GL}(2, \mathbb{R})$ on the projective line, $\mathbb{P}^1(\mathbb{R})$ (I will assume the concept is known to you, otherwise please refer to the linked article ).

There is the usual embedding $\psi : \mathbb{R} \to \mathbb{P}^1(\mathbb{R})$ given by $\psi(x) = [x : 1]$ (see homogeneous coordinates), which we use to identify $\mathbb{R}$ with a subset of $\mathbb{P}^1(\mathbb{R})$. In fact, $\mathbb{P}^1(\mathbb{R}) = \psi[\mathbb{R}] \cup \{ [1 : 0] \}$ and $[1 : 0]$ is referred to as the point at infinity. Thus extending $\psi$ to $\overline{\psi} : \mathbb{R} \cup \{ \infty \} \to \mathbb{P}^1(\mathbb{R})$ so that $\overline{\psi}(\infty) = [1 : 0]$, we get a bijection.

Now fix an invertible linear transformation $A = \begin{pmatrix} a & b \\ c & d \end{pmatrix}$. It acts on $\mathbb{R}^2$ and maps lines passing through the origin to lines passing through the origin, hence it also acts on $\mathbb{P}^1(\mathbb{R})$. Let's see how this action looks like on the 'finite part' $\psi[\mathbb{R}] \subseteq \mathbb{P}^1(\mathbb{R})$.

Consider a point $p \in \psi[\mathbb{R}]$ expressed as $[x : 1]$ in the homogeneous coordinates. Then

$$A p = [ax + b : cx + d].$$

Since we again want to see this point as an element of $\mathbb{R}$, we have to divide both coordinates by the second coordinate, so the latter becomes $1$:

$$Ap = \left[ \frac{ax+b}{cx+d} : 1 \right] = \psi \left( \frac{ax+b}{cx+d} \right).$$

So the rational function $f : x \mapsto \frac{ax+b}{cx+d}$ describes how the points of $\psi[\mathbb{R}]$ change under the action of $A$. If we additionally put $f \left( -\frac{d}{c} \right) = \infty$ and $f(\infty) = \frac{a}{c}$ (or just $f(\infty) = \infty$ if $c = 0$), then the function $f : \mathbb{R} \cup \{ \infty \} \to \mathbb{R} \cup \{ \infty \}$ completely corresponds to the action of $A$ on $\mathbb{P}^1(\mathbb{R})$. In technical terms, the following diagram commutes:

enter image description here

Now fix $x < y$ that are very close together. In particular, let them lie on the same side of the number $-\frac{d}{c}$. The two corresponding elements $(x,1)$, $(y,1)$ form a negatively oriented pair of vectors in $\mathbb{R}^2$. Note, however, that it would be meaningless to say that the pair $[x:1]$, $[y:1]$ is negatively oriented.

  • If $\det A > 0$, then $A$ is orientation-preserving, hence $(ax+b, cx+d)$, $(ay+b, cy+d)$ will also be negatively oriented. Thus $(f(x), 1)$, $(f(y), 1)$ will be negatively oriented*, and so $f(x) < f(y)$.

  • If on the other hand $\det A < 0$, then $A$ is not orientation-preserving. By a similar reasoning we get that the pair $(f(x), 1)$, $(f(y), 1)$ is positively oriented, so $f(x) > f(y)$.

Therefore $f$ is locally increasing if $ad-bc > 0$ and locally decreasing if $ad-bc < 0$.


*This actually requires a little justification. To get the vectors $(f(x), 1)$ and $(f(y), 1)$ from $(ax+b, cx+d)$ and $(ay+b, cy+d)$, we divide by the second coordinate. Multiplying or dividing one vector in a pair by a negative number changes the orientation of the pair. But in this case we assume that $x$ and $y$ are on the same side of $-\frac{d}{c}$, which implies that the numbers $cx+d$ and $cy+d$ have the same sign - hence after both divisions the orientation does not change.

Adayah
  • 13,487
  • Perhaps a silly question. What do you mean when you say that the vectors are 'negatively oriented' or that A is 'orientation preserving'? – Sid Mar 25 '18 at 10:16
  • @Sid These are standard linear algebra terms (see here. Briefly, a pair of vectors $U, V \in \mathbb{R}^2$ is positively oriented, if the rotation that takes $U$ to $V$ (possibly scaling it by a positive number along the way) over the shorter arc goes counterclockwise; the pair is negatively oriented if the rotation goes clockwise. A linear map $A$ is orientation-preserving if given any positively-oriented $U, V \in \mathbb{R}^2$ the pair $AU, AV$ is also positively oriented. – Adayah Mar 25 '18 at 11:07
  • This is a very nice answer. –  Mar 25 '18 at 21:03
  • Thanks, but I have just discovered a major flaw in the above reasoning (a simple indication of it is that strictly speaking, $f(x)$ is neither increasing nor decreasing unless we consider it on the two subintervals separately). I'm now thinking how to correct it while retaining the spirit of the answer. – Adayah Mar 26 '18 at 06:42
  • It is with a heavy heart that I corrected my answer because a lot of original conciceness and clarity was lost in the process. But seriously, the previous version was quite a big lie (shout out to the 32 upvoters). I've removed the dubious parts and added more explanation to (hopefully) keep it reasonably comprehensible. – Adayah Dec 11 '22 at 21:00
13

One of the principles is the group property of linear transformations.

The following is from chapter V: Normal forms and particular linear mappings of Elements of the Theory of Functions by K. Knopp

We consider the mapping \begin{align*} y=\frac{a_1x+b_1}{c_1x+d_1}=l_1(x) \end{align*} followed by a mapping \begin{align*} z=\frac{a_2y+b_2}{c_2y+d_2}=l_2(y) \end{align*}

A simple calculation shows that the direct transition from the $x$- to the $z$-plane is effected by the function \begin{align*} z=\frac{ax+b}{cx+d}=l(x)\tag{3} \end{align*} whose four coefficients can be read off from the matrix equation

$$ \begin{pmatrix} a&b\\ c&d\\ \end{pmatrix} = \begin{pmatrix} a_2&b_2\\ c_2&d_2\\ \end{pmatrix} \begin{pmatrix} a_1&b_1\\ c_1&d_1\\ \end{pmatrix} = \begin{pmatrix} a_2a_1+b_2c_1&a_2b_1+b_2d_1\\ c_2a_1+d_2c_1&c_2b_1+d_2d_1\\ \end{pmatrix} $$

By compounding two linear mappings $y=l_1(x), z=l_2(y)$ we thus again obtain a linear mapping \begin{align*} l(x)=l_2(l_1(x))=l_2l_1(x) \end{align*}

If $l_1$ and $l_2$ do not degenerate, neither does $l$. For, according to the multiplication theorem for determinants, or by a simple calculation, we find that $$ \begin{vmatrix} a&b\\ c&d\\ \end{vmatrix} = \begin{vmatrix} a_2&b_2\\ c_2&d_2\\ \end{vmatrix} \cdot \begin{vmatrix} a_1&b_1\\ c_1&d_1\\ \end{vmatrix} $$ and since neither factor is zero, the product is not zero. It is also easy to verify that this compounding or symbolic multiplication of linear functions is associative, i.e., \begin{align*} l_3(l_2l_1)=(l_3l_2)l_1 \end{align*} Every function has also an inverse. The inverse of (3) is \begin{align*} z=\frac{-dx+b}{cx-a} \end{align*} It is denoted by $l^{-1}(x)$. When compounded with $l(x)$, it yields the identity: \begin{align*} ll^{-1}(x)=l^{-1}l(x)=x, \end{align*} which corresponds to the coefficient array $$ \begin{pmatrix} 1&0\\ 0&1\\ \end{pmatrix} $$ On the basis of these facts, we can state the following

Theorem: The linear mappings form a group, if the compounding of linear functions is employed as group multiplication. The identity is the identity element of the group, inverse functions are inverse elements.

Markus Scheuer
  • 112,413
12

As noted by the others, your rational function is a Möbius transform. Möbius transform is often introduced in an undergraduate complex variables course, but it also comes up in other areas of mathematics. One interesting application, for instance, is the design of a "spigot algorithm" that yields the digits of $\pi$. For those who are interested, see Jeremy Gibbons (2004), Unbounded Spigot Algorithms for the Digits of Pi.

By the way, let us use the coefficients $a,b,c,d$ to denote a Möbius transform of the form $\dfrac{ax+b}{cx+d}$ rather than $\dfrac{a+bx}{c+dx}$. The major merit of the former is that its matrix representations are composable. That is, if $$ f(x)=\dfrac{ax+b}{cx+d},\ \text{ and }\ g(x)=\dfrac{Ax+B}{Cx+D},\ \text{ then }\ g(f(x))=\dfrac{\alpha x+\beta}{\gamma x+\delta} $$ where $$ \pmatrix{\alpha&\beta\\ \gamma&\delta}=\pmatrix{A&B\\ C&D}\pmatrix{a&b\\ c&d}. $$ Moreover, the matrix for the identity Möbius transform is just the identity matrix. Such niceties are lost if you use the $(a+bx)/(c+dx)$ form. Anyway, the above are just side notes that are unimportant to our discussion below.

In your case, the derivative of Möbius transform produces a determinant. The reason is somehow related to linear algebra, but it is nothing mysterious and I don't think the connection to linear algebra is deep. Briefly speaking, the determinant originates from expressing the Möbius transform as a sum of partial fractions: $$ f(x)=\frac{ax+b}{cx+d}=q+\frac{r}{cx+d}. $$ To determine $q$ and $r$, we need to solve $ax+b=q(cx+d)+r$, i.e. $$ \pmatrix{c&0\\ d&1}\pmatrix{q\\ r}=\pmatrix{a\\ b}. $$ Now, Cramer's rule says that $q,r$ are ratios of determinants: $q=\dfrac ac$ and $r=\dfrac1c\det\pmatrix{c&a\\ d&b}$ and hence $$ f(x)=\frac{ax+b}{cx+d}=\frac ac-\frac1c\frac{ad-bc}{cx+d}. $$ Since $\dfrac{-1}{c(cx+d)}$ is monotonic increasing on each of the intervals $cx+d<0$ and $cx+d>0$, the sign of gradient of $f$ is equal to the sign of $ad-bc$.

user1551
  • 149,263
0

Quite simply, there is a well-known homomorphism between $2 \times 2$ matrices and Möbius transformations: $M = (m_{ij})$, where $m_{11} = a, m_{12} = b, m_{21} = c$, and $m_{22} = d$ <--> $f(z) = \frac{az + b}{cz + d}$. In this relation, the $n-$fold composition $f^n (z)$ corresponds to the $n$th power of $A$.

PolyaPal
  • 894
0

Obviously, if $a+bx$ and $c+dx$ are linearly dependent, i.e. when $\Delta=\begin{vmatrix}a&b\\c&d\end{vmatrix}=0$, the homographic function degenerates to a constant.

So it is no real surprise that $\Delta$ appears as a factor of the derivative.