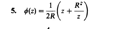
I am studying for my final exam and am really struggling on this question #5. I have attached both the question and the answer listed in the book. I am really trying to get the ideas down so that I do well on the final.
My attempt (Finding a conformal map of the part of the upper half-plane outside a circle of radius r onto the entire upper half plane):
I want to use a known conformal map to map the domain to the first quadrant. I then want to use w=z^2 to map to the first quadrant to entire half plane. Finally I want to use a linear fractional transformation that maps the upper half-plane to itself. The only thing is I don't know how to map the domain to the first quadrant and what the linear fractional transformation should be, but this is my general idea that I am thinking.
Any help, suggestions, tips would be much welcomed, as I am struggling with these concepts.

