We know that
$$\lim_{n\to\infty}n\sin(2\pi \mathrm en!)=2\pi$$
now :
$$\lim_{n\to\infty}n\sin(2^n \pi \sqrt{e}\mathrm n!)=?$$
I tried:
We know that
$$\lim_{n\to\infty}n\sin(2\pi \mathrm en!)=2\pi$$
now :
$$\lim_{n\to\infty}n\sin(2^n \pi \sqrt{e}\mathrm n!)=?$$
I tried:
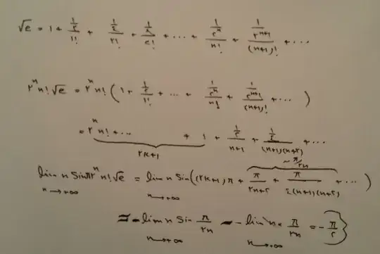
This is tweaked version of the Christian Blatter's answer on the link you posted(hence community wiki). $$2^{n-1}\sqrt{e}n!=2^nn!\sum_{k=0}^\infty\frac{1}{(2^k)k!}=2^{n-1}n!\left(\sum_{k=0}^{n-1}\frac{1}{(2^k)k!}+\sum_{k=n}^ \infty\frac{1}{(2^k)k!}\right)=m_{n-1}+r_{n-1}$$ With $m_{n-1}\in \Bbb{Z}$ and $$\frac{1}{2n}<r_{n-1}=\frac{1}{2n}+\frac{1}{4n(n+1)}+\cdots<\frac{1}{2}\left(\frac{1}{n}+\frac{1}{n^2}+\cdots\right)<\frac{1}{2(n-1)}$$ Since $$a_n=n\sin(2\pi\cdot2^{n-1} \sqrt{e}n!)=n\sin(2\pi r_{n-1})=n\ \ 2\pi r_{n-1}\frac{\sin(2\pi r_{n-1})}{2\pi r_{n-1}}$$ And $r_n\to 0$ it follows that $$\lim_{n\to\infty}a_n=2\pi\lim_{n\to\infty}(nr_{n-1})=2\pi\cdot \frac{1}{2}=\pi$$