3

Hello fellow Stackexchange users.

I am trying to compute the inverse Fourier transform of

$\frac{\tanh(l_s^{-1}\epsilon\omega)}{\omega}$,

where $l_s^{-1}$ and $\epsilon$ are both real, positive, and known constants.

In an answer to this question a user suggests (in taking the Fourier transform) to apply a complex version of Frullani's theorem.

My attempt at doing so goes as follows

$\begin{align} f(x)&=\frac{1}{2\pi}\int_{-\infty}^{\infty}\frac{e^{l_s^{-1}\epsilon \omega}-e^{-l_s^{-1}\epsilon \omega}}{\omega(e^{l_s^{-1}\epsilon\omega}+e^{-l_s^{-1}\epsilon\omega})}e^{-i\omega x}d\omega\\ &=\frac{1}{2\pi}\int_{-\infty}^{\infty}\frac{e^{l_s^{-1}\epsilon \omega}-e^{-l_s^{-1}\epsilon \omega}}{\omega(e^{l_s^{-1}\epsilon\omega}+e^{-l_s^{-1}\epsilon\omega})}(\cos(\omega x)-i\sin(\omega x))d\omega\\ &=\frac{1}{2\pi}\int_{-\infty}^{\infty}\frac{e^{l_s^{-1}\epsilon \omega}-e^{-l_s^{-1}\epsilon \omega}}{\omega(e^{l_s^{-1}\epsilon\omega}+e^{-l_s^{-1}\epsilon\omega})}\cos(\omega x)d\omega\\ \end{align}$

Now, to apply Frullani's theorem, I would like to let

$f(\omega)=\frac{e^{l_s^{-1}\epsilon\omega}\cos(\omega)}{e^{l_s^{-1}\epsilon\omega}+e^{-l_s^{-1}\epsilon\omega}}.$

However, $\lim_{\omega\to\infty}f(\omega)$ does not exist.

I am sure I have gone terribly wrong somewhere, and cannot think of a way to find the solution. Any help would be very much appreciated. Also, if the answer involves Weierstrass products, could you please also submit a readable introduction to them?

Edit: After a moment's thought, I am thinking that this integral doesn't even exist, since it decays like $1/\omega$. So does this integral even exist?

runner.87
  • 157

2 Answers2

2

Choosing $a=l_s^{-1}\epsilon$, you may use the convolution theorem: $$\begin{align}\mathcal{F}^{-1}\left(\frac{\tanh(a\omega)}{\omega}\right)&=\mathcal{F}^{-1}\left(\tanh(a\omega)\right)*\mathcal{F}^{-1}\left(\frac{1}{\omega}\right)\\&=\left(-\frac{i}{a}\sqrt{\frac{\pi}{2}}\text{csch}(\frac{\pi x}{2a})\right)*\frac{i}{2}\text{sgn}(x)\\&=\frac{1}{2a}\sqrt{\frac{\pi}{2}}\left(2\log\left(\tanh(\frac{\pi x}{4a})\right)-i\pi\right)\end{align}$$

msm
  • 7,289
  • Wow, this is way simpler than what I was thinking. I don't know why I made it so difficult. Thanks!!! – runner.87 Sep 15 '16 at 14:47
  • A quick follow up question--if I am correct, the function $\tanh(ax)$ isn't integrable (which would also render the function in my original question not integrable). So are you taking the integral in some type of principal value sense? – runner.87 Sep 15 '16 at 15:21
  • Not only $\tanh(x)$, but even $e^{jx}$ (which is sum of two periodic functions) don't have a FT in its original definition. This is based on the generalized definition of FT where "special" functions such as $\delta$ are defined with their FT. If you look, the inverse domain does not appear so normal either. Note the $\text{sgn}$ and $\text{csch}$ there. – msm Sep 15 '16 at 21:15
  • Right, that makes sense, thanks for the confirmation . – runner.87 Sep 16 '16 at 14:19
0

Here I follow msm's helpful answer but fixing a few of the constants I believe are incorrect:

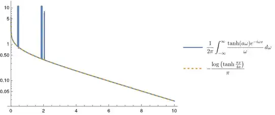
Using op's convention for the Fourier Transform, and like msm letting $a=l_s^{-1}\epsilon$: $$\begin{align}\mathcal{F}^{-1}\left(\frac{\tanh(a\omega)}{\omega}\right)&=\frac{1}{2\pi}\int_{-\infty}^{\infty}\left(\frac{\tanh(a\omega)}{\omega}\right)e^{-i\omega x} d\omega\\ &=\mathcal{F}^{-1}\left(\tanh(a\omega)\right)*\mathcal{F}^{-1}\left(\frac{1}{\omega}\right)\\&=\left(-\frac{i}{2a}\text{csch}(\frac{\pi x}{2a})\right)*\frac{-i}{2}\text{sgn}(x)\\&=-\frac{1}{\pi}\log\left(\tanh(\frac{\pi x}{4a})\right)\end{align}$$

The difference comes from: using a consistent convention for the Fourier transform for all functions; pulling out the factor inside the csch function on convolution; and no additional factor of $i\pi$, which cannot be correct as the $\tanh (a x)/x$ is even.

Here is a plot using numerical integration in Mathematica to confirm for $a =5$: Numerical integration of fourier transform vs analytical result