4

I can't seem to prove the following property of te $\delta$- function.

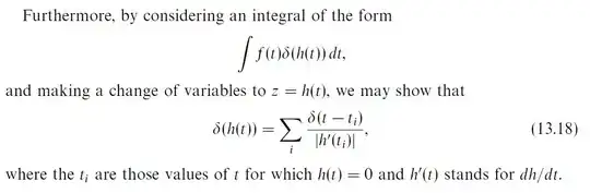
enter image description here

Please help.

Junaid Aftab
  • 1,662
  • 1
    you have to define $\delta$ rigorously first, and I don't think you need such a change of variables, so my advice is to forget it and concentrate on what is $\delta$ really – reuns Jul 25 '16 at 17:26
  • @user1952009 what about the property then? I'm reading a Math Methods for Physicists text so I agree that most material in the book is not mathematically formal. – Junaid Aftab Jul 25 '16 at 17:35
  • if you define $\int_a^b \delta(x) f(x)dx$ as $\lim_{\epsilon \to 0^+} \int_a^b \frac{1_{|x| < \epsilon}}{2 \epsilon} f(x) dx$ you can show that if $f$ is continuous and $a<0, b>0$ then $\int_a^b \delta(x)f(x)dx =\lim_{\epsilon \to 0^+} \int_a^b \frac{1_{|x| < \epsilon}}{2 \epsilon} f(x) dx = \lim_{\epsilon \to 0^+} \frac{1}{2 \epsilon}\int_{-\epsilon}^\epsilon f(x) dx = f(0)$ and $\int_a^b \delta(nx) f(x)dx =\lim_{\epsilon \to 0^+} \int_a^b \frac{1_{|nx| < \epsilon}}{2 \epsilon} f(x) dx= \lim_{\epsilon \to 0^+} \frac{1}{2 \epsilon}\int_{-\epsilon/n}^{\epsilon/n} f(x) dx = \frac{f(0)}{n}$ – reuns Jul 25 '16 at 17:43
  • (that's all you need to know for now) – reuns Jul 25 '16 at 17:44
  • 1
    I don't agree, @user1952009, the formula Junaid Aftab is interested in is important on the practical side and you can have a need for it without having a full-rigorous introduction to $\delta$ distribution (as a proof, the first time I met it was in a physics-oriented textbook). – Jean Marie Jul 25 '16 at 21:24
  • @JeanMarie read what I wrote, and if you know distributions, of course you agree – reuns Jul 25 '16 at 21:27
  • About the closing of this question: it is evident that the OP 1) doesn't cite his sources (never good !) 2) has not shown his efforts to solve the question. Nevertheless, I think that it would not be good to close the question because, this important formula may be very puzzling for the newcomer, and I am happy that @Matt L. has given a solution that you cannot find everywhere. – Jean Marie Jul 25 '16 at 21:30
  • @JeanMarie my solution is good : define $\delta$ and $\delta(h(x))$ rigorously. his answer is very bad – reuns Jul 25 '16 at 21:31
  • @user1952009 . I dont want to enter into polemics. I am sorry, but what you call "your" solution (the answer $f(0)/n$) doesn't adress the problem ! What is this "n" ? Which connection does it have with a derivative $h'(t_i)$ ? Etc... May I ask you your opinion about the solution given by Matt L. ? – Jean Marie Jul 25 '16 at 21:39
  • Agressivity is not an argument. Maybe I have missed something : where have you written $\int_a^b \delta(h(x)) f(x)dx$ ? I dont see anything like this under your signature. – Jean Marie Jul 25 '16 at 21:45
  • @JeanMarie I think you don't understand what I wrote. I gave a definition of $\delta$ such that it becomes obvious that $\int_a^b \delta(x h'(0) + o(x)) f(x)dx = \int_a^b \delta(x h'(0)) f(x)dx$ when $f$ is continuous and $h'(0) \ne 0$. MattL and the OP and you didn't give any definition of $\delta$ and even less of $\delta(h(x))$. so really, you should read a course on distributions – reuns Jul 25 '16 at 22:10
  • (see identical question)(http://math.stackexchange.com/q/662226) – Jean Marie Jul 25 '16 at 22:25

1 Answers1

2

Note that in the vicinity of a zero $t_i$, the function $h(t)$ can be approximated by

$$h(t)\approx h'(t_i)(t-t_i)\tag{1}$$

With $(1)$, the given integral can be written as

$$\int_{-\infty}^{\infty}f(t)\delta(h(t))dt=\sum_i\int_{t_i-\epsilon}^{t_i+\epsilon}f(t)\delta(h'(t_i)(t-t_i))dt\tag{2}$$

with some small $\epsilon>0$. Substituting $u=h'(t_i)(t-t_i)$ in $(2)$ gives

$$\begin{align}\int_{-\infty}^{\infty}f(t)\delta(h(t))dt&=\sum_i\frac{1}{h'(t_i)}\int_{-\epsilon h'(t_i)}^{\epsilon h'(t_i)}f\left(\frac{u}{h'(t_i)}+t_i\right)\delta(u)du\\&=\sum_i\frac{1}{|h'(t_i)|}\int_{-\epsilon |h'(t_i)|}^{\epsilon |h'(t_i)|}f\left(\frac{u}{h'(t_i)}+t_i\right)\delta(u)du\\&=\sum_i\frac{f(t_i)}{|h'(t_i)|}\tag{3}\end{align}$$

from which the result follows.

Note that we've assumed that the roots $t_i$ are simple, and that $h'(t_i)\neq 0$.

Matt L.
  • 10,844
  • 19
  • 28